Trabajadores sexuales en riesgo

Los preservativos como prueba de prostitución en cuatro ciudades de Estados Unidos

Trabajadores sexuales en riesgo

Los preservativos como prueba de prostitución en cuatro ciudades de Estados Unidos

Resumen
Recomendaciones clave
Metodología
Contexto
Conclusiones: Los preservativos como prueba de prostitución en cuatro ciudades de Estados Unidos
Ciudad de Nueva York
Washington, DC
Los Ángeles
San Francisco
Obligaciones de derechos humanos
Derecho a la prevención delVIH y al acceso a preservativos
Derecho a la libertad y la seguridad personal, y a no ser objeto de  detención arbitraria
Derecho a no sufrir tratos o penas crueles, inhumanos y degradantes
Recomendaciones
Nueva York
Ciudad de Nueva York
Washington, DC
California
Los Ángeles
San Francisco
Al gobierno estadounidense
A las Naciones Unidas
Agradecimientos
Apéndice A. Formularios de denuncia de prostitución del Tribunal Penal de la Ciudad de Nueva York
Apéndice B. Carta de Latino Commission on AIDS al Departamento de Policía de Nueva York
Apéndice C. Resolución de San Francisco Ref.:  Los preservativos como prueba de prostitución
Apéndice D. Formularios de denuncia de prostitución del Tribunal Penal de San Francisco

 

Resumen

Si llevaba muchos preservativos, me arrestaban. Si llevaba pocos, o sólo uno, se me acababan y no podía protegerme. ¿Cuántas veces tuve sexo sin protección por el temor a llevar preservativos? Muchas.
– Anastasia L., trabajadora sexual, Ciudad de Nueva York, 22 de marzo de 2012

Felicia C. es una trabajadora sexual del vecindario de Columbia Heights de Washington, DC. El encuentro entre Human Rights Watch y Felicia tuvo lugar a las dos de la madrugada de un día frío y con viento. Felicia corrió hasta la camioneta de servicios de contacto con la comunidad a buscar una taza de café caliente de las que brindan los voluntarios. Tomó la hoja de “citas que se deben evitar”, que advierte sobre ataques recientes a trabajadores sexuales, y le ofrecieron algunos preservativos. Se negó a llevarse más de dos. Cuando le preguntaron por qué, Felicia dijo que temía ser acosada por la policía. Relató que, un mes antes, la policía la había interceptado e interrogado, y le dijeron que arrojara a la basura los preservativos que llevaba. Según explicó, se había negado y defendido, pero no quería que volvieran a acosarla.

La historia de Felicia no es una excepción. En cuatro de las principales ciudades del país —Nueva York, Washington, DC, Los Ángeles y San Francisco— la policía intercepta, revisa y arresta a trabajadores sexuales y utiliza los preservativos como prueba para sustanciar acusaciones de prostitución. Para muchos trabajadores sexuales, particularmente las mujeres transgénero, el arresto implica enfrentar tratos degradantes y abusos por parte de policías. Para los inmigrantes, el arresto por delitos de prostitución puede significar ser detenidos y expulsados de Estados Unidos. Algunas mujeres manifestaron a Human Rights Watch que seguían llevando preservativos pese a las consecuencias negativas que esto podía causar. Para otras, el temor a ser arrestadas era más fuerte que la necesidad de protegerse del VIH, otras enfermedades de transmisión sexual y el embarazo.

Alexa L., una trabajadora sexual de la Ciudad de Nueva York, expresó: “Yo uso preservativos. Me cuido muchísimo. Pero antes no los utilizaba porque tenía miedo de llevarlos. Estoy muy preocupada por mi salud”. Carol F., una trabajadora sexual de Los Ángeles que había sido arrestada, entre otros motivos, por llevar preservativos, relató una historia similar: “Después del arresto, siempre tuve miedo… Hubo momentos en que no tenía un preservativo cuando lo necesitaba, y entonces utilizaba una bolsa de plástico”.

La prostitución —el intercambio de sexo por dinero u otra contraprestación— es ilegal en 49 estados y en todas las ciudades a las que se hace referencia en este informe. En estas jurisdicciones, los organismos de aplicación de la ley tienen la responsabilidad de hacer cumplir las leyes, incluidas las vinculadas con la prostitución. La aplicación de las leyes, no obstante, debe ser compatible con las normas internacionales de derechos humanos, y los gobiernos deberían garantizar que las políticas y prácticas de la policía no se contradigan con aspectos clave de las políticas de salud pública que son igualmente importantes, incluso aquellas diseñadas para combatir la epidemia del VIH.

A menudo, cuando la policía intercepta y revisa a personas para saber si tienen preservativos, lo hace después de haberlas escogido utilizando criterios selectivos. Esta es una práctica que consiste en considerar a personas como presuntos delincuentes en función de quiénes son, cuál es su vestimenta y dónde se encuentran, en lugar de tener en cuenta la actividad ilegal que se pueda haber observado. En Nueva York, Washington, DC y Los Ángeles, muchas personas, particularmente miembros de la comunidad transgénero, relataron a Human Rights Watch que habían sido interceptadas y registradas en busca de preservativos cuando regresaban caminando a su casa desde la escuela, se dirigían a la tienda de comestibles o cuando esperaban el autobús. La imprecisión de las leyes sobre el merodeo redunda en un menoscabo del derecho a la libertad y la seguridad personal, y permite que la policía considere sospechosa una amplia variedad de conductas y otras cuestiones, como por ejemplo, poseer preservativos y ser “conocido/a” como trabajador/a sexual. Las leyes sobre el merodeo contra la prostitución de Nueva York, California y Washington, DC son incompatibles con los principios de derechos humanos que prohíben la detención o el castigo basados en la identidad o la condición de las personas, y deben ser reformadas o derogadas.

Los trabajadores sexuales de Nueva York, Washington, DC y Los Ángeles describieron conductas abusivas e ilícitas por parte de policías, que iban desde el acoso verbal y la humillación pública hasta la extorsión para conseguir relaciones sexuales, tanto dentro como fuera de los centros de detención. Numerosas mujeres transgénero relataron haber sido “desfiguradas” por policías que les quitaron sus pelucas, las arrojaron al suelo y las pisotearon. Era común que algunos policías sometieran a las mujeres transgénero a insultos vulgares, burlas y ofensas. En Nueva York y Los Ángeles se realizaron denuncias sumamente alarmantes que señalaban que, regularmente, algunos policías les exigían mantener relaciones sexuales con ellos a cambio de retirar las acusaciones en su contra, u obligaban a las mujeres a tener sexo con ellos mientras se encontraban detenidas. Entre estas mujeres, fueron pocas las que realizaron denuncias, por temor a sufrir nuevos abusos y por haber perdido la fe en que la policía respondiera de manera justa y con integridad. Los policías de cada una de estas ciudades deben adoptar medidas para establecer una mayor rendición de cuentas, recuperar la confianza de la comunidad y poner fin a un ciclo de impunidad inaceptable de violaciones de derechos humanos contra trabajadores sexuales y personas transgénero.

Para este informe —que analiza el uso de la policía de los preservativos como prueba para aplicar las leyes sobre prostitución y tráfico de sexo—, Human Rights Watch entrevistó a más de 300 personas como parte de una investigación sobre los obstáculos que afectan la prevención efectiva del VIH entre los trabajadores sexuales de las cuatro ciudades analizadas. Entre los entrevistados hubo aproximadamente 200 trabajadores y ex trabajadores sexuales, como así también trabajadores de contacto con la comunidad, defensores de derechos, abogados, policías, fiscales de distrito y funcionarios de salud pública. En Nueva York, Washington, DC y Los Ángeles, nuestra investigación se centró en denuncias que señalaban que la policía utilizaba los preservativos como prueba al interceptar a trabajadores sexuales en las calles. En San Francisco, los preservativos se utilizaron, en cierta medida, como prueba durante operativos de orden público en la calle, y la policía fotografió los preservativos en lugar de confiscarlos, en una actitud que parece reñida con cuestiones de salud pública. En San Francisco, gran parte de las acciones contra la prostitución en las cuales se utilizaron preservativos como prueba estuvieron dirigidas a mujeres que trabajaban en establecimientos tales como clubes de baile erótico, salas de masajes y un centro nocturno con clientela transgénero.

El uso por parte de la policía de preservativos como prueba de prostitución tiene el mismo efecto en todas partes: pese a los millones de dólares que se destinan a distribuir y promover el uso de los preservativos como un método efectivo de prevención del VIH, los grupos expuestos a un mayor riesgo de infección —trabajadores sexuales, mujeres transgénero y la población joven de lesbianas, gais, bisexuales y transgénero (LGBT)— tienen temor de llevarlos consigo y, como consecuencia, mantienen relaciones sexuales sin protección a raíz del acoso policial. Los trabajadores de contacto con la comunidad y los establecimientos comerciales tampoco pueden distribuir preservativos libremente y sin temor a ser perseguidos.

Los trabajadores sexuales y las mujeres transgénero están sumamente expuestos a la infección con VIH como resultado de muchos factores; por ejemplo, la estigmatización, el aislamiento social y físico y las carencias económicas. En San Francisco, una de cada tres mujeres transgénero tiene VIH; en Los Ángeles, el Departamento de Salud ha determinado que la prevención del VIH para las mujeres transgénero es una prioridad “urgente”. No resulta sorprendente que quienes lidian con estos temas a diario se sientan confundidos con el mensaje que las autoridades de algunas ciudades están transmitiendo respecto del uso de preservativos. María, una trabajadora sexual de Los Ángeles, preguntó: “¿Por qué el gobierno de la ciudad me da preservativos si llevarlos implica ir a la cárcel?”. Paradójicamente, si María fuera a prisión en Los Ángeles o en cualquiera de las ciudades mencionadas en este informe, podría tener acceso a un preservativo, ya que en los centros de detención hay preservativos disponibles para la prevención del VIH y otras enfermedades de transmisión sexual.

Numerosos policías y fiscales defendieron el uso de preservativos como pruebas necesarias para hacer cumplir las leyes sobre prostitución y tráfico de sexo. No obstante, el uso de cualquier tipo de prueba debe determinarse evaluando el daño que podría ocasionar su utilización y los beneficios que trae aparejados. En los diversos sistemas jurídicos de todo el mundo, se excluyen ciertas categorías de pruebas que podrían ser relevantes, por razones de política pública. Entre los numerosos ejemplos que existen de esta situación, se pueden mencionar las leyes que, en casos de violación sexual, excluyen los testimonios vinculados con la actividad sexual previa de las víctimas. Los esfuerzos por hacer que se cumplan las normas no deben interferir en el derecho de toda persona a proteger su salud, y esto incluye a los trabajadores sexuales. El valor de los preservativos para la prevención del VIH y otras enfermedades supera ampliamente la utilidad que estos puedan tener en la aplicación de las leyes contra la prostitución.

En el verano de 2012, en Washington, DC tendrá lugar la 19.ª Conferencia Internacional sobre el Sida. Más de 30.000 representantes de todas partes del mundo se darán cita en la capital de Estados Unidos, y la atención internacional se enfocará en la respuesta de este país ante la epidemia. Se trata de una oportunidad extraordinaria para que la ciudad de Washington, DC —como también las ciudades de Nueva York, Los Ángeles y San Francisco— establezcan políticas que protejan a quienes se encuentran en riesgo de contraer VIH y eliminen aquellas que obstaculizan los esfuerzos de prevención de este virus, como el uso de los preservativos como prueba de prostitución.

También se necesita un liderazgo fuerte a nivel federal. El gobierno estadounidense otorga financiamiento por millones de dólares a cada una de las ciudades mencionadas en este informe para prevenir el VIH entre los grupos que tienen un alto riesgo de infección. Las autoridades deben entender que considerar los preservativos como prueba de prostitución es un obstáculo que afecta la implementación de la Estrategia Nacional para el VIH/sida, y que los organismos federales, estatales y municipales deben trabajar en forma conjunta para su eliminación. Asimismo, es importante destacar que Estados Unidos se comprometió recientemente, ante el Consejo de Derechos Humanos de las Naciones Unidas, a proteger los derechos humanos de los trabajadores sexuales. Este compromiso debería ponerse en práctica sin demora. Un paso fundamental para el cumplimiento de esta obligación sería exigir que se ponga fin al uso de preservativos como prueba de prostitución, dado que es una política que pone en riesgo la salud y la vida de trabajadores sexuales, personas transgénero, jóvenes LGBT y de todos los miembros de la comunidad.

Recomendaciones clave

A los Departamentos de Policía y Fiscales de Distrito de la Ciudad de Nueva York, Washington, DC, Los Ángeles y San Francisco

  • Dejar de utilizar, en forma inmediata, la posesión de preservativos como prueba para arrestar, interrogar o detener a personas que, presuntamente, sean trabajadores sexuales, o para sustanciar acusaciones por prostitución y delitos relacionados. Emitir una directiva para todos los policías en la cual se destaque la importancia de los preservativos, en términos de salud pública, para la prevención del VIH y para la salud sexual y reproductiva. Asegurar que los policías reciban capacitación periódica sobre este protocolo, y que deban rendir cuentas en caso de que no lo cumplan.

A las Legislaturas del estado de Nueva York y California y al Consejo del Distrito de Columbia

  • Promulgar leyes que prohíban considerar que la posesión de preservativos constituye una prueba de prostitución y delitos relacionados.
  • Modificar o derogar las leyes excesivamente amplias que prohíben el merodeo con fines de prostitución por ser incompatibles con las normas de derechos humanos y las normas constitucionales de Estados Unidos.

Al gobierno estadounidense

  • La Oficina de Política Nacional de Sida (Office of National AIDS Policy) y los organismos federales responsables de implementar la estrategia nacional sobre VIH/sida deberían:
    • Reconocer que las violaciones de derechos humanos, como las medidas que frustran un medio de prevención del VIH, constituyen importantes obstáculos para reducir la prevalencia del VIH entre los trabajadores sexuales, las personas transgénero, la población joven de LGBT y otros grupos vulnerables, y dar prioridad a las intervenciones estructurales para abordar esos abusos;
    • Asegurar la inclusión de los trabajadores sexuales y las mujeres transgénero en las iniciativas del Grupo de Trabajo sobre la Intersección del VIH/sida (Working Group on the Intersection of HIV/AIDS), Violencia contra Mujeres y Niñas (Violence against Women and Girls), y Disparidades entre los Géneros en Cuestiones de Salud (Gender-related Health Disparities);
    • Asegurar que los datos sobre investigación y vigilancia del VIH reflejen adecuadamente el impacto del VIH sobre los trabajadores sexuales y las personas transgénero;
    • Instar a los estados a que prohíban utilizar los preservativos como prueba de prostitución y delitos relacionados, y desarrollar un plan para brindar orientación, asistencia técnica y modelos de leyes para alcanzar este objetivo.
  • El Departamento de Justicia debería investigar el trato que reciben los trabajadores sexuales y las personas transgénero por parte de la policía en la Ciudad de Nueva York, Washington, DC y Los Ángeles, y ocuparse, en forma constante, de revisar, hacer cumplir y supervisar las políticas y prácticas para garantizar que respeten las normas de derechos humanos y las normas constitucionales de Estados Unidos.

Metodología

El presente informe se basa en investigaciones llevadas a cabo en Nueva York, Washington, DC, San Francisco y Los Ángeles por un equipo de cinco miembros de la División de Salud y Derechos Humanos de Human Rights Watch entre octubre de 2011 y julio de 2012. La investigación comenzó con consultas a organizaciones de personas que ejercen el trabajo sexual y de defensores de ellas, así como de personas transgénero, de reducción de daños y de personas con VIH, además de entrevistas con defensores públicos de más de 15 ciudades de todo el territorio de Estados Unidos, con el objeto de averiguar si miembros de la policía o fiscales estaban utilizando los preservativos como prueba de prostitución. A partir de esta investigación preliminar, se puso de manifiesto que, en Nueva York, Washington, DC, Los Ángeles y San Francisco, se recibía sistemáticamente información que indicaba que los preservativos se utilizaban como prueba de prostitución.

Para elaborar el informe, Human Rights Watch entrevistó aproximadamente a 197 trabajadores y ex trabajadores sexuales; 77 en Nueva York y 40 en cada una de las demás ciudades. Las entrevistas se llevaron a cabo en forma individual y en grupos, en distintos entornos; por ejemplo, en las oficinas de organizaciones no gubernamentales (ONG) que trabajan con trabajadores sexuales, en espacios abiertos como parte de iniciativas de contacto con la comunidad que se llevan a cabo por turnos en la calle, en restaurantes y otros espacios públicos, en las oficinas de Human Rights Watch y por teléfono. Es difícil determinar cuál fue la cantidad exacta de trabajadores sexuales entrevistados durante las investigaciones realizadas para este informe, ya que no todas las personas se identificaron a sí mismas como trabajadores sexuales y, en muchos casos, pudo haber superposición entre trabajadores de contacto con la comunidad, defensores de derechos y otras personas. La mayor parte de los trabajadores y ex trabajadores sexuales entrevistados fueron mujeres o personas transgénero, principalmente mujeres transgénero.

Todas las personas entrevistadas fueron informadas acerca del objeto de la entrevista, su carácter voluntario, y de qué manera se utilizaría la información. Todos los entrevistados brindaron su consentimiento verbal para la entrevista. Se utilizan seudónimos para identificar a todos los trabajadores y ex trabajadores sexuales, así como para otras personas que solicitaron que no se revele su identidad para proteger su privacidad, confidencialidad y seguridad.

Human Rights Watch también entrevistó a más de 110 trabajadores de contacto con la comunidad, defensores de derechos, abogados, defensores públicos, fiscales, jueces, funcionarios de salud pública y policías de las cuatro ciudades. Se obtuvieron documentos a través de pedidos presentados en virtud de la Ley de Libertad de Información y otros pedidos de registros públicos, que fueron recibidos por Human Rights Watch por medio de diversas fuentes, incluido el Departamento de Policía Metropolitana de Washington, DC, Legal Aid Society of New York y la Comisión de Derechos Humanos de San Francisco (San Francisco Human Rights Commission). Todos los documentos citados en el informe pueden ser consultados por el público o se encuentran en los registros de Human Rights Watch.

Human Rights Watch consultó a funcionarios de gobierno de cada ciudad, incluidos policías, fiscales y funcionarios de salud pública, para conocer su perspectiva. Las respuestas de los funcionarios de cada ciudad se detallan en la sección Conclusiones del informe.

Contexto

El VIH sigue representando una grave amenaza para la salud pública en Estados Unidos, donde 1.2 millones de personas viven con VIH y una de cada cinco no sabe que está infectada. Cada año, aproximadamente 50,000 personas contraen VIH, y esta enfermedad afecta especialmente —en forma desproporcionada— a las minorías raciales y étnicas[1]. A treinta años del comienzo de esta epidemia, se ha establecido claramente que las intervenciones dirigidas al comportamiento individual no resultan suficientes si no se tienen en cuenta aspectos sociales, económicos, legales y otros factores estructurales que influyen en la vulnerabilidad al VIH[2]. Para abordar la epidemia entre las poblaciones vulnerables, es necesario comprender el entorno de riesgo en el cual estas se manifiestan, y diseñar intervenciones estructurales como respuesta. Como escribió Kevin Fenton, director del Centro Nacional para la Prevención del VIH/sida, Hepatitis Viral, Enfermedades de Transmisión Sexual y Tuberculosis (National Center for HIV/AIDS, Viral Hepatitis, STD and TB Prevention) de los Centros para el Control y la Prevención de Enfermedades (Centers for Disease Control and Prevention, CDC) de Estados Unidos:

Aunque las intervenciones dirigidas a personas específicas han tenido resultados relativamente satisfactorios, es evidente que su éxito mejora sustancialmente cuando la prevención del VIH aborda factores estructurales más amplios, tales como la condición de pobreza o riqueza, el género, la edad, las políticas públicas y el poder[3].

Los trabajadores sexuales y las personas transgénero comparten muchos elementos de un entorno que define su nivel de riesgo de contraer VIH; por ejemplo, el aislamiento físico, social y cultural, la estigmatización y un entorno legal y de políticas públicas que criminalizan su conducta y, muchas veces, también su condición[4]. Las personas transgénero, por ejemplo, sufren discriminación en casi todos los ámbitos, el rechazo de familiares, estigmatización y pobreza, factores que explican en cierto modo la escasez de datos que existe respecto de la prevalencia del VIH entre este grupo. Hace poco tiempo, un grupo de defensores de personas transgénero publicaron la encuesta “Injustice at Every Turn” (Injusticias en todas partes), que entrevistó a casi 6,500 personas transgénero en Estados Unidos[5]. El informe indicó que la discriminación es generalizada, que existe un nivel de pobreza cuatro veces más alto que entre la población general y que se registra una tasa de desempleo que duplica la observada entre las personas no transgénero, lo cual hace que, muchas veces, el trabajo sexual sea la única alternativa para poder sobrevivir. Todos estos factores fueron aún más marcados entre las personas transgénero de color, al igual que la vulnerabilidad frente al VIH y el sida. Entre las personas entrevistadas, la tasa de prevalencia del VIH informada por los propios entrevistados era cuatro veces más alta que la de la población general de Estados Unidos, y la tasa entre las personas que en algún momento se dedicaron al trabajo sexual era superior al 15 por ciento[6].

Las consecuencias de las detenciones son graves para los trabajadores sexuales, las mujeres transgénero y otras personas LGBT, dado que, mientras se encuentran bajo custodia policial y en la cárcel, suelen ser sometidas a altos niveles de abuso, acoso y violencia[7]. Numerosos trabajadores sexuales inmigrantes señalan, además, otras razones para temer ser detenidos, ya que el Gobierno de Estados Unidos tiene en la mira específicamente a los “extranjeros que participan en delitos” para expulsarlos[8]. Tanto para los inmigrantes documentados como para los indocumentados, la prostitución y el ofrecimiento de sexo pueden ser motivos de expulsión y declaración de inadmisibilidad conforme a las leyes federales de inmigración[9]. Por tratarse de un “delito de inmoralidad”, una condena por prostitución, merodeo con la intención de ejercer la prostitución u ofrecimiento de sexo puede constituir un motivo de expulsión del territorio de Estados Unidos. Existe además otra disposición específica que establece que la prostitución es un delito que puede dar lugar a la deportación[10]. En virtud de esta disposición, no es necesario que se haya dictado una condena penal por prostitución para que se declare la inadmisibilidad, si las autoridades inmigratorias determinan, por otras razones, que alguien ha “participado en actos de prostitución”[11]. Una condena por prostitución o la determinación de que una persona ha participado en actos de prostitución puede hacer que se la declare inadmisible, lo cual significa que quienes se encuentran en Estados Unidos y salen del país no pueden volver a ingresar y, además, pueden tener dificultades para regularizar su situación legal. Estos motivos también pueden dar lugar a la aplicación de los requisitos de detención obligatoria de las leyes de inmigración, tanto para los inmigrantes documentados como para los indocumentados[12].

Los preservativos constituyen un método comprobado para prevenir la transmisión del VIH y otras enfermedades de transmisión sexual, han demostrado reducir sustancialmente el riesgo de transmisión de VIH y son avalados por autoridades de salud de Estados Unidos e internacionales como un componente esencial de los programas de prevención del VIH[13]. En muchas jurisdicciones, incluso en Estados Unidos, se brindan preservativos como un método esencial para la prevención del VIH entre poblaciones que practican actos que están penalizados, o a personas que tienen prohibido mantener relaciones sexuales, como los reclusos[14]. De hecho, en las cuatro ciudades analizadas en el presente informe, el departamento de salud pública distribuye millones de preservativos cada año como parte de campañas de prevención del VIH de alta visibilidad, y en cada una de ellas se ofrecen preservativos a los internos de las cárceles[15].

La prostitución —definida como el intercambio de sexo por dinero u otra contraprestación— es ilegal en 49 estados de Estados Unidos, y está prohibida en todas las ciudades consideradas en este informe[16]. La policía tiene la responsabilidad de hacer cumplir las leyes, y esto incluye las normas contra la prostitución. No obstante, la aplicación de las normas debe ser coherente con las obligaciones en materia de derechos humanos, incluido el derecho a la salud, la libertad y la seguridad de las personas y a no ser objeto de tratos crueles, inhumanos y degradantes. Los gobiernos pueden adoptar medidas —y de hecho lo hacen— para garantizar que las leyes penales no obstaculicen la protección de los derechos humanos ni la salud pública, principalmente promoviendo programas de reducción de daños para usuarios de drogas, que incluyen la provisión de jeringas de sustitución y centros de consumo seguro de drogas inyectables[17]. Cada una de las ciudades analizadas en este informe cuenta con programas de sustitución de jeringas que operan en el marco de excepciones a las leyes estatales sobre materiales vinculados con el consumo de drogas. Estos programas tienen por objeto promover el tratamiento de la drogodependencia y evitar que se compartan agujas —un modo de transmisión del VIH—, protegiendo a las personas que usan drogas de la intervención policial en situaciones específicas. Tales programas reflejan la colaboración entre las comunidades afectadas, las autoridades de aplicación de la ley y los funcionarios de salud pública, un enfoque que debería aplicarse también al problema del uso de preservativos como prueba de prostitución.

Conclusiones: Los preservativos como prueba de prostitución en cuatro ciudades de Estados Unidos

Ciudad de Nueva York

VIH en la Ciudad de Nueva York

La Ciudad de Nueva York es el epicentro de la epidemia del sida en Estados Unidos: son más de 110,000 las personas que viven con VIH y la tasa de casos de sida triplica el promedio nacional. El sida ocupa el tercer lugar entre las principales causas de muerte de neoyorquinos de entre 35 y 54 años. En Nueva York, la población afroamericana se ve afectada por el VIH de una manera desproporcionada, y la tasa de diagnóstico de VIH cuadriplica la tasa observada en la población caucásica. Si bien, históricamente, el VIH afectó principalmente a hombres en Nueva York, casi la cuarta parte de las personas que recientemente han recibido un diagnóstico de VIH son mujeres. Y dentro de este grupo, el 92 por ciento son mujeres afroamericanas o latinas[18]. Los hombres jóvenes que mantienen relaciones sexuales con otros hombres, particularmente los jóvenes de color, tienen un riesgo cada vez mayor de infección con VIH. En 2009, por primera vez, la cantidad de diagnósticos de VIH entre hombres que mantienen sexo con hombres de entre 13 y 29 años superó a la de los hombres de 30 años o mayores[19]. Entre las personas transgénero de la Ciudad de Nueva York, hubo 183 nuevos diagnósticos de VIH entre 2006 y 2010. La mayoría correspondió a mujeres transgénero afroamericanas o hispanas. De las mujeres transgénero que recientemente recibieron un diagnóstico de VIH, el 8 por ciento informó haber realizado trabajo sexual, una cifra que probablemente sea baja, dado que se basó en la cantidad de personas que se sintieron cómodas como para comentar esta situación a la persona que les brindaba atención médica[20].

Un estudio reciente, llevado a cabo en la Ciudad de Nueva York entre personas que mantienen relaciones sexuales a cambio de dinero u otros bienes (una categoría más amplia que la de las personas que se identifican a sí mismas como trabajadores sexuales[21]), determinó que el 14 por ciento de los hombres y el 10 por ciento de las mujeres eran VIH positivos[22]. Estas cifras son significativamente más altas que el 1.4 por ciento de prevalencia del VIH en la Ciudad de Nueva York en general, y el 0.6 por ciento de prevalencia en Estados Unidos en general[23].

El estado y la ciudad de Nueva York han dedicado ingentes recursos a combatir la epidemia del VIH, y han dirigido sus iniciativas de prevención a muchas de estas poblaciones vulnerables. Un pilar fundamental de estas iniciativas de prevención es promover el acceso universal a preservativos. A mediados de los años ochenta, el Departamento de Salud e Higiene Mental de la Ciudad de Nueva York (New York City Department of Health and Mental Hygiene, DOHMH) amplió un programa de distribución de preservativos que ya existía en ese entonces, como respuesta a la crisis del sida, y en 2007 lanzó la Campaña de Preservativos de la Ciudad de Nueva York (New York City Condom Campaign), y ofreció el primer preservativo que llevó la marca de un municipio en Estados Unidos. En los seis meses posteriores al lanzamiento, la distribución de preservativos por parte de la ciudad se incrementó a más de tres millones de preservativos por mes en los cinco distritos (36 millones por año). Actualmente, la Ciudad de Nueva York distribuye más de 40 millones de preservativos por año, en forma gratuita[24]. El Departamento de Salud e Higiene Mental de Nueva York indica, en sus materiales de promoción de los preservativos: “Es tu derecho: nadie —ni siquiera tu cónyuge o tu pareja— te puede quitar el derecho a utilizar preservativos ni obligarte a mantener relaciones sexuales”[25].

Controles contra la prostitución en la Ciudad de Nueva York

La legislación del estado de Nueva York prohíbe el delito de “prostitución”[26], que constituye un delito menor, y el “merodeo con el objeto de participar en un delito de prostitución”, una contravención (que se sanciona únicamente con una multa) que puede constituir además un delito menor (para el cual se prevé una multa, una pena de prisión, o ambas)[27]. Otros delitos relacionados con la prostitución incluyen solicitar servicios de prostitución[28], promover la prostitución[29] y el tráfico de sexo[30].

Desde enero hasta noviembre de 2011, el Departamento de Policía de la Ciudad de Nueva York (New York City Police Department, NYPD) realizó 4,054 detenciones por delitos vinculados con la prostitución[31]. Esto incluyó 1,899 casos de prostitución (en los cuales se detuvo al presunto proveedor de sexo) y 1,192 detenciones dirigidas a presuntos clientes de prostitución. Se realizaron 619 detenciones por “merodeo con el objeto de participar en un delito de prostitución”[32]. La gran mayoría de estas detenciones se resuelve sin un juicio, principalmente a través de acuerdos negociación de penas o mediante procedimientos de libertad condicional, que habitualmente exigen que la persona involucrada participe en un programa contra el abuso de sustancias u otro programa de recuperación[33].

En 2011, por ejemplo, en la Ciudad de Nueva York, se registraron cinco absoluciones en casos vinculados con prostitución. De los casos que habían sido resueltos, el 85 por ciento indicaba “con condena o condena aún no determinada”, lo cual implicaba que se había determinado la culpabilidad. Una de cada tres personas condenadas cumplió una pena de prisión efectiva por el delito. En 2011, en la Ciudad de Nueva York hubo 35 detenciones por tráfico de sexo (ver los Cuadros 1 y 2 a continuación)[34].

Cuadro 1. DETENCIONES VINCULADAS CON LA PROSTITUCIÓN EN LA CIUDAD DE NUEVA YORK EN 2011*

CARGO

DETENCIONES

PL 230.00 

PROSTITUCIÓN

1,899

PL 230.04 

SOLICITAR SERVICIOS DE PROSTITUCIÓN-TERCER GRADO

1,188

PL 240.37 

MERODEO CON FINES VINCULADOS CON LA PROSTITUCIÓN

691

PL 230.20  

PROMOCIÓN DE LA PROSTITUCIÓN-CUARTO GRADO

119

PL 230.25 

PROMOCIÓN DE LA PROSTITUCIÓN-TERCER GRADO

92

PL 230.34 

TRÁFICO DE SEXO

35

PL 230.40 

PERMITIR LA PROSTITUCIÓN

10

PL 230.30 

PROMOCIÓN DE LA PROSTITUCIÓN-SEGUNDO GRADO

9

PL 230.33 

FORZAMIENTO DE LA PROSTITUCIÓN

6

PL 230.06 

SOLICITAR SERVICIOS DE PROSTITUCIÓN-PRIMER GRADO

3

PL 230.05 

SOLICITAR SERVICIOS DE PROSTITUCIÓN-SEGUNDO GRADO

1

PL 230.32 

PROMOCIÓN DE LA PROSTITUCIÓN-PRIMER GRADO

1

PL 230.03 

SOLICITAR SERVICIOS DE PROSTITUCIÓN-CUARTO GRADO

0

* al 22 de noviembre de 2011

Fuente: Estadísticas del Departamento de Justicia Penal de Nueva York, Sistema Computarizado de Antecedentes Penales (DCJS, Computerized Criminal History system).

Cuadro 2. RESOLUCIÓN DE DETENCIONES VINCULADAS CON LA PROSTITUCIÓN EN LA CIUDAD
DE NUEVA YORK EN 2011*

Detenciones

Total de detenciones

4,054

Se informó resolución

2,460

En trámite, no se informó resolución

1,594

Total de casos resueltos

2,460

Con sentencia dictada: con condena

2,053

Desestimados

228

El fiscal de distrito retiró la acusación

127

Con sentencia dictada: condena aún no determinada

41

Absolución

5

Otros

4

Cubiertos por otro caso

2

Total de condenas

2,053

Libertad condicional

859

Multa

527

Prisión

348

Tiempo cumplido de prisión

314

Libertad bajo palabra

2

Otros

2

Encarcelamiento y libertad bajo palabra

1

Prisión

0

Libertad sin condicionamiento

0

* al 22 de noviembre de 2011

 

Fuente: Estadísticas del Departamento de Justicia Penal de Nueva York, Sistema Computarizado de Antecedentes Penales (DCJS, Computerized Criminal History system).

En algunos de los pocos casos que llegaron a juicio, los fiscales han procurado utilizar los preservativos como prueba. Kate Mogulescu, una defensora de la Legal Aid Society of New York, ha dedicado los dos últimos años a la defensa de casos de prostitución y merodeo con fines vinculados con la prostitución en Manhattan, y se ha desempeñado como consultora en juicios por prostitución en otros distritos. Mogulescu señaló que, en ese período, “los fiscales intentaron incorporar los preservativos en dos de los diez casos que llegaron a juicio, y en ambos el juez se negó a admitirlos como prueba”[35].

En un juicio en el que participó Mogulescu en junio de 2010, el juez Richard Weinberg del Tribunal Penal de la Ciudad de Nueva York (Criminal Court of the City of New York) mantuvo el siguiente diálogo con el fiscal:

Juez Weinberg: No me interesan los preservativos. Estamos en el siglo XXI.
Fiscal: El Pueblo desea manifestar su objeción. Esta es una prueba circunstancial de la intención del acusado.
Juez Weinberg: Y de todos los demás hombres y mujeres que desean protegerse en la era del sida[36].

En Nueva York, “el merodeo con fines vinculados con la participación en un delito de prostitución” se define como el acto en que una persona “…permanece o deambula por un lugar público y realiza señas reiteradas, o intercepta o intenta interceptar a personas en reiteradas oportunidades, o repetidas veces intenta entablar conversaciones con transeúntes, o repetidas veces detiene o intenta detener vehículos, o interfiere reiteradamente en el libre paso de otras personas, con fines de prostitución”[37]. Numerosos defensores de las libertades civiles del estado de Nueva York consideran, desde hace mucho tiempo, que la excesiva amplitud de la ley de merodeo con fines vinculados con la prostitución es inconstitucional. En 1978, fue objetada por ser demasiado imprecisa como para permitir conocer adecuadamente qué conductas eran ilegales, lo cual constituye una violación del derecho al debido proceso legal conforme a la Quinta y la Decimocuarta Enmiendas,pero no obstante ello la ley fue confirmada por el Tribunal de Apelaciones de Nueva York (New York Court of Appeals)[38]. Concretamente, el Tribunal ratificó el uso de pruebas circunstanciales para la acusación por merodeo, incluido el hecho de que el acusado se encontrara en una zona donde “es sabido” que se ejerce la prostitución, que el oficial hubiese detenido anteriormente a otras personas por prostitución en ese lugar y el reconocimiento del acusado como una persona que anteriormente había cometido el delito de prostitución[39].

Según la Guía de Patrullaje del Departamento de Policía de Nueva York (New York Police Department Patrol Guide), se permite a los policías tener en cuenta el lugar donde se encuentra el sospechoso, sus conversaciones, su vestimenta, su conducta, sus compañías y el ser conocido como trabajador sexual para establecer que está merodeando con el fin de participar en actos de prostitución[40]. Estas y otras leyes similares sobre merodeo resultan problemáticas para los derechos humanos, dado que otorgan a la policía un amplio margen para interferir sin justificación en actividades lícitas cuando no existe un ofrecimiento concreto. Dichas leyes permiten que se efectúen detenciones arbitrarias y preventivas basadas en el perfil o la condición de las personas, en lugar de tomar en cuenta las conductas delictivas[41].

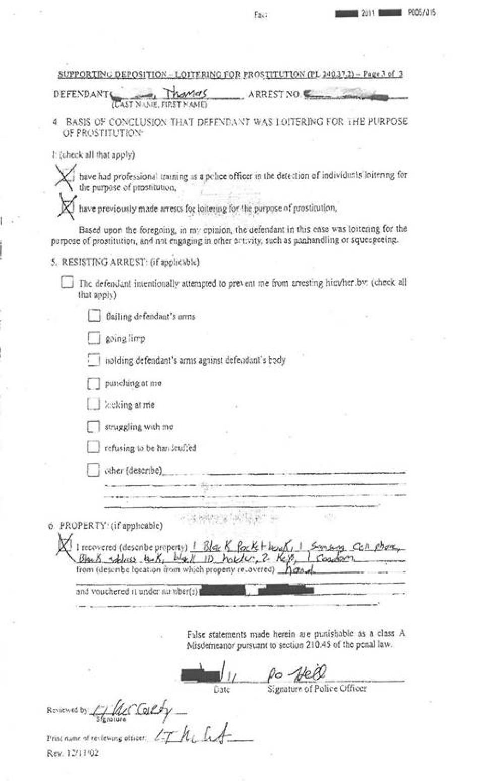
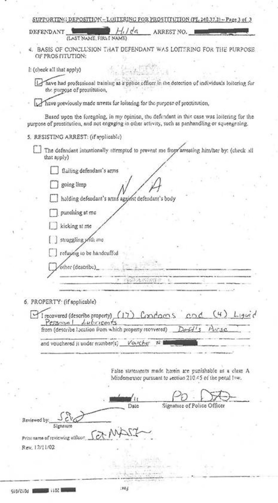
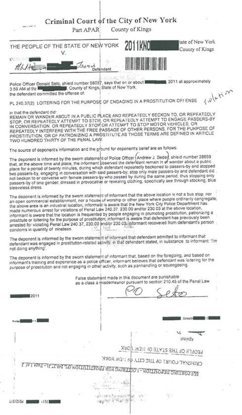
Las leyes federales y estatales permiten a la policía interceptar a una persona cuando tenga sospechas razonables de que está realizando una actividad delictiva[42]. La policía puede palpar al sospechoso si existe una causa probable para creer que esta persona ha cometido un delito[43]. Los amplios supuestos que pueden dar lugar a sospecha en virtud de la ley de merodeo con fines de prostitución permiten a la policía detener y palpar a personas por diversos motivos, y es durante ese proceso que los preservativos pueden ser descubiertos y confiscados. Los preservativos también pueden ser confiscados como prueba para sustentar acusaciones de prostitución sin merodeo, como cuando se ofrece sexo a un policía encubierto[44]. En los tribunales penales de Brooklyn, los formularios que completan los policías para sustanciar las acusaciones de prostitución y merodeo incluyen la categoría “preservativos” entre las opciones de “pruebas adicionales de prostitución”. En los formularios utilizados en los tribunales penales de Manhattan, los funcionarios han agregado los preservativos en la descripción de la categoría de “pruebas adicionales” para sustanciar las acusaciones de prostitución. En el Apéndice A se incluyen ejemplos de formularios presentados ante los tribunales penales de Brooklyn y Manhattan, en los cuales los preservativos se identifican como prueba de prostitución.

Los preservativos como prueba de prostitución

Human Rights Watch entrevistó a trabajadores sexuales de Manhattan, Queens, Brooklyn y el Bronx. En cada distrito, los trabajadores sexuales manifestaron a Human Rights Watch que a menudo eran detenidos y palpados por policías. En muchos casos, la policía confiscaba los preservativos y, habitualmente, hacía comentarios sobre la cantidad de preservativos que encontraban al palparlos.

Personas interceptadas por policías y confiscación de preservativos

Tanya B., una trabajadora sexual transgénero latina de Queens, relató:

Me interceptaron y me amenazaron. Los policías me dijeron ‘vacía tu bolso’. Saqué todo lo que tenía, pero dejé los preservativos en el fondo. Y se dieron cuenta. Dijeron: ‘¿Por qué no sacaste los preservativos? Puedo detenerte por esto’. Yo respondí: ‘¿Cuál es el problema? No tengo armas ni drogas’. Y el policía respondió: ‘La próxima vez te voy a detener porque esto es una prueba de que eres prostituta’[45].

Pam G., una mujer que padece esclerosis múltiple y es trabajadora sexual, relató a Human Rights Watch su experiencia en Coney Island, Brooklyn:

El policía me dijo: ‘¿ Por qué llevas todos esos preservativos? Te podríamos detener sólo por esto’. Lo utilizan para poder palparme. Aquí, eso sucede todo el tiempo. Es común que yo lleve ocho preservativos. Si tienes más de tres o cuatro, te los quitan y te faltan el respeto[46].

Alysha S., una trabajadora sexual afroamericana de Hunt’s Point, Bronx, expresó:

A mí me pasó que me detuvieran por tener preservativos. Tenía cinco. Estaba junto a McDonald’s, caminando por la calle, y [el policía] metió la mano en mi bolsillo. Siempre los tengo en mi bolsillo[47].

Información errónea sobre la legalidad de los preservativos.

El uso de preservativos como prueba de prostitución hace que algunos trabajadores sexuales duden acerca de cuántos pueden llevar y crean que los preservativos son ilegales. Sienna Baskin es abogada y codirectora del Proyecto de Trabajadores Sexuales (Sex Worker Project) de Urban Justice Center. Baskin explicó que, a menudo, los trabajadores sexuales preguntan: “¿Cuántos preservativos puedo llevar, por ley, en la Ciudad de Nueva York?”. Baskin les informa que pueden llevar, lícitamente, todos los que deseen[48].

Lynn A. acababa de mudarse a Nueva York desde la región del Medio Oeste. Ella afirmó: “No tenía idea de que pasaba esto, no sabía que llevar un preservativo era un delito. Recién llego desde Minnesota, y allí se reparten preservativos”[49].

La policía identifica en forma automática a algunas personas como trabajadores sexuales

Muchas personas se quejaron de ser interceptadas, palpadas o detenidas mientras desarrollaban actividades lícitas, en muchos casos, cuando simplemente estaban caminando por su vecindario. Además de la apariencia, ser conocido como trabajador sexual por los policías o estar en una zona que se identifica con el ejercicio de la prostitución, los preservativos podrían hacer que mujeres fueran identificadas por la policía como trabajadoras sexuales. Lola N., una trabajadora sexual afroamericana de Hunt’s Point, Bronx, relató:

Un día, estaba caminando con mi novio, y un policía de la división de vicios frenó y bajó raudamente del vehículo. Mi novio tenía marihuana y lo dejaron ir. Me detuvieron a mí porque me encontraron preservativos. Dijeron que me detenían por ofrecer sexo[50].

Numerosos miembros de la comunidad transgénero latina de Queens tuvieron la experiencia de ser interceptados y palpados por policías por presunta prostitución cuando estaban caminando por su vecindario. Alexa L., una mujer transgénero de México, expresó:

Hace ocho días, no estaba trabajando porque estaba enferma. Salí de mi casa para comprarme un café, y tenía dos preservativos en el bolsillo. Un grupo de policías me interceptó y me dijo: ‘¿Qué estás haciendo?’. Les respondí que iba a comprarme un café. Me palparon y me encontraron dos preservativos. Me preguntaron: ‘¿Qué estás haciendo con dos preservativos? ¿Para qué son?’. Dije que eran para protegerme. Me quitaron los preservativos. No pude comprar el café, estaba muy asustada. Me sentí muy mal. No soy una delincuente, no robé. Cuando me palparon y encontraron los preservativos, temblaba, tenía mucho miedo[51].

Selena T. dijo a Human Rights Watch:

Vaciaron todo mi bolso. Los policías suponen que soy prostituta, me interceptan, abren mi bolso, revisan si tengo una determinada cantidad de preservativos. Siempre abren tu bolso para buscar preservativos[52].

Yanira C. estaba en el cine cuando fue arrestada:

Estaba con un amigo en la 82y Roosevelt. Salíamos del cine. Un grupo de policías se acercó en una camioneta y me dijeron que me iban a detener. Me dijeron que era demasiado bonita. Me acusaban de tener más de un preservativo en mi bolso. Me detuvieron durante dos días por prostitución y ofrecimiento de sexo... Dijeron que tenía preservativos, eso figura en el informe[53].

Mona M. es originaria de El Salvador y vive en Jackson Heights, Queens, desde hace diez años. Es una mujer transgénero que ha asumido la responsabilidad de proveer preservativos a otros trabajadores sexuales. Dijo: “Para la policía, todas las personas transgénero ejercen la prostitución”[54].

Juan David Gastolomendo es director ejecutivo de Latino Commission on AIDS, una organización no gubernamental que brinda servicios de apoyo y contacto a mujeres transgénero latinas en Queens. Según Gastolomendo, sus clientas suelen ser identificadas como prostitutas por los funcionarios encargados de la aplicación de la ley:

Las detenciones arbitrarias se producen principalmente por acusaciones de merodeo, incluido el caso de merodeo con fines vinculados con la prostitución. Finalmente, todo se reduce a ser una mujer transgénero en un lugar donde se sabe que existe el trabajo sexual. La detención se basa en la identidad del cliente, y en dónde se produce. Se trata de lugares donde existe prostitución, pero también son lugares a los cuales las personas acuden para sociabilizar[55].

Interferencia policial en las actividades de contacto con la comunidad

Varias mujeres que habitualmente participaban en iniciativas de educación y contacto con la comunidad describieron cómo la policía había interferido en estas actividades. Anna E., una ex trabajadora sexual de México, de 32 años, explicó:

Volví a las discotecas de Jackson Heights, no como prostituta, sino simplemente para volver a salir. No puedo caminar por Roosevelt Avenue entre la 72y la 82porque allí está la policía, e inmediatamente piensan que soy prostituta. No puedo llevar preservativos como lo hacía antes, ni dárselos a mis amigos. Tengo terror de hacerlo. Siento pánico, especialmente porque ahora tengo un empleo, soy estilista. Siento que no puedo darles preservativos a mis amigos porque tengo temor de llevarlos conmigo[56].

Mona M. se sienta en un restaurante de su vecindario, siempre en el mismo horario, para entregar preservativos a otras mujeres que temen llevarlos cuando están trabajando:

La mayoría tiene temor, no llevan preservativos... Yo trabajo en iniciativas de contacto con la comunidad. Saben que encontrarán a Mona en el café. Sólo vienen cuando tienen un cliente, se llevan un preservativo y se van con el cliente. Para mí, es un riesgo tener los preservativos en mi bolso. Pero he trabajado en iniciativas de contacto con la comunidad, y me siento obligada a llevar preservativos porque, si aparece alguien, me pide un preservativo y yo no tengo ninguno, ¿qué hará esa persona?[57].

Algunos trabajadores de contacto de organizaciones que prestan servicios a la comunidad también han sido perseguidos por policías, pese a que estos trabajadores ofrecen una explicación y muestran las identificaciones emitidas por sus empleadores[58]. En Queens y en otros distritos, la Latino Commission on AIDS le entrega a cada trabajador de contacto un folleto impreso que deben llevar consigo, en el cual se explica a la policía por qué tienen y distribuyen preservativos en el vecindario. Se incluye una copia de este folleto como Apéndice B.

Consecuencias para la inmigración de las detenciones por prostitución

Las leyes sobre inmigración obligan a los trabajadores sexuales indocumentados a tomar una difícil decisión. Los defensores de Nueva York afirman conocer muy bien la insostenible situación que enfrentan sus clientes, y a menudo se ven obligados a aconsejarles que se declaren culpables de delitos para poder recuperar la libertad. Estas personas quieren evitar ser enviadas al centro penitenciario Rikers Island Correctional Facility, donde los agentes federales del Servicio de Inmigración y Control de Aduanas (Immigration and Customs Enforcement, ICE) examinaban a las personas recién llegadas para identificar a aquellas que han infringido las leyes inmigratorias[59]. Tal como lo describió Barbie M., una trabajadora sexual indocumentada: “Me declaré culpable de prostitución, mi abogado me aconsejó que lo hiciera. No tenía otra opción porque, si no me declaraba culpable, iba a ir a la cárcel y me deportarían”[60].

No obstante, desde el 15 de mayo de 2012, ya no es posible evitar ser examinado, dado que el ICE comenzó a implementar el Programa de Comunidades Seguras (Secure Communities Program). En virtud de este programa, las huellas digitales de todas las personas arrestadas por la policía local se envían para ser revisadas por las autoridades de inmigración federales, a fin de determinar si deberían ser detenidas en relación con cuestiones inmigratorias[61]. Para los trabajadores sexuales transgénero que son indocumentados, este cambio es particularmente preocupante, dado que la deportación puede significar el regreso a países donde anteriormente soportaron abusos y discriminación que pusieron en riesgo su vida. Juan David Gastolomendo, de la Latino Commission on AIDS, señala:

Lo que vemos son, principalmente, detenciones arbitrarias, una identificación automática de personas en función de criterios selectivos. Inmigrantes latinos, personas trans, hombres que mantienen sexo con otros hombres. Esto tiene consecuencias sobre la inmigración, y es un tema preocupante. Al ser deportadas, estas personas volverán a las situaciones de las cuales estaban huyendo. El problema que esto suscita es que muchas personas deportadas podrían solicitar asilo si tuviéramos los recursos necesarios[62].

Temor a llevar preservativos como consecuencia de la acción policial

Muchos trabajadores sexuales informaron que seguían llevando preservativos pese al temor a ser detenidos. No obstante, para otros, el temor a ser arrestados, encarcelados o condenados por prostitución era más fuerte que su necesidad de protegerse del VIH y otras enfermedades de transmisión sexual. Anna E. planteó:

¿Si tengo miedo de llevar preservativos? Sí, durante mucho tiempo tuve temor. Cuando trabajaba en la calle, sentía que cuando salía solamente podía llevar dos o tres, no muchos…[63].

Nola B. explicó que los trabajadores sexuales transgénero pueden necesitar más de un preservativo durante un encuentro:

En el caso de los trabajadores sexuales transgénero, a veces, tanto la persona transgénero como el cliente deben usar preservativos. Entonces se necesitan dos. O el preservativo se puede romper. No alcanza con uno o dos[64].

Numerosos trabajadores de contacto con la comunidad que ofrecen servicios de reducción de daños en la calle confirmaron que, a menudo, los trabajadores sexuales eran reticentes a llevar preservativos por temor a ser detenidos. Un trabajador de contacto del Bronx y el este de Harlem señaló:

Habitualmente entregamos dos paquetes [de preservativos] por vez. Hemos tenido casos de mujeres que devolvían un paquete y decían ‘lo vamos a compartir’. A veces, no tienen dónde llevarlos y, sabiendo que se las intercepta con tanta frecuencia, no quieren llevar muchos preservativos con ellas[65].

Lorena Borjas, una trabajadora de contacto de Latino Commission on AIDS que colabora con la comunidad latina transgénero de Queens ofreció un testimonio similar:

La policía está arrestando a muchísimas personas en Jackson Heights. Las jóvenes tienen miedo de llevar preservativos... El Departamento de Salud aconseja protegerse, vemos los anuncios en la televisión, en la radio, en el tren subterráneo. Pero la policía de Queens no está bien entrenada o no se dan cuenta de que están haciendo las cosas mal. Están deteniendo a jóvenes y utilizando los preservativos como pruebas[66].

Mito Miller, un trabajador de contacto con la comunidad de West Village, en Manhattan, explicó a Human Rights Watch:

Nunca me encontré con varones jóvenes que tuvieran temor de llevar preservativos, solamente las mujeres trans negras y latinas se negaron a llevarlos. Sí encontré personas que no llevaban preservativos, que seguían una rigurosa rutina para ocultarlos. Los envolvían en papel, para que parecieran obsequios... Llevaban algunos, pero conscientemente se limitaban debido a que no iban a poder ocultarlos —aunque sabían que, al estar trabajando, necesitarían más—[67].

Varios trabajadores sexuales indicaron que, debido a las prácticas de los policías, no les quedaba otra opción más que realizar el trabajo sexual sin preservativos. Alexa L. relató:

Yo uso preservativos. Me cuido muchísimo. Pero la policía hace que sea un problema llevarlos. Hubo momentos en que tuve miedo y no los usé. Estoy muy preocupada por mi salud[68].

Tanya B. manifestó que, cuando se queda sin preservativos, tiene que seguir trabajando igualmente:

[El accionar de la policía] afecta mi capacidad de llevar preservativos. Muchas chicas llevan uno o dos preservativos, pero hay noches en que hay mucho trabajo, y tienes que atender al último [cliente] sin preservativos[69].

Anastasia L., una mujer transgénero de México que fue trabajadora sexual en Queens hasta 2007, declaró:

Si llevaba muchos preservativos, me arrestaban. Si llevaba pocos, o sólo uno, se me acababan y no podía protegerme. ¿Cuántas veces tuve sexo sin protección por el temor a llevar preservativos? Muchas

Abuso, hostigamiento y conductas indebidas por parte de policías

Numerosos trabajadores sexuales informaron que, independientemente de la cuestión de los preservativos, la interacción con la policía a menudo iba acompañada de abusos verbales y físicos. Esto ocurría particularmente en el caso de las mujeres transgénero, como relató Victoria D.:

Las veces que me detuvieron fue simplemente por caminar por la calle, salir de un club o porque un policía me identificó como transgénero. Siempre buscaban preservativos. No les importa nada de ti, te quitan el bolso, lo arrojan en su vehículo, tiran tus cosas al piso, te cachean, te preguntan si tus pechos son falsos, te los quitan allí mismo, y si tienes una peluca, también te la quitan. Es humillante. En medio de la calle, te quitan tu identidad. Cuando te encuentran preservativos, te preguntan: ‘¿Para qué son?... ¿Cuántas chupaste hoy? ¿Cuánto dinero ganaste hoy?’[71].

Alexa L. dijo a Human Rights Watch:

Hace cinco meses, iba a ver a mi pareja, mi esposo. Una camioneta de la policía se detuvo y bajaron cuatro oficiales. Me interceptaron, me pusieron esposas y me preguntaron qué estaba haciendo. Les respondí que iba a ver a mi pareja, y me dijeron que eso era mentira, que me estaba prostituyendo. Me pusieron contra la pared, me raspé la rodilla y mi celular cayó al piso. Me decían... ‘maldito gay’... Esa vez me detuvieron, y yo tenía un preservativo en el pecho. Lo encontraron, me lo quitaron y lo arrojaron por ahí[72].

Numerosas mujeres transgénero describieron abusos por parte de funcionarios de orden público en Queens Central Booking, en el complejo penitenciario “The Tombs” de Manhattan, y en Rikers Island Correctional Facility. Tara A. estuvo en Queens Central Booking en abril de 2011:

Pasé 24 horas en Central Booking en Queens. Son 24 horas en el infierno, que te marcan psicológicamente porque estás obligada a estar en un área con hombres. El problema no es solamente ser detenida... Tenía frente a mí hombres que me insultaban, que me decían “marica”. Me sentí discriminada cuando me tomaron las huellas digitales: se pusieron guantes, como si les diera asco. Los policías se burlaban de mí. A veces pasaba junto a los hombres, y me decían ‘eres bonita’. Y el policía les decía: ‘No es una mujer, es un hombre’[73].

Las mujeres transgénero relataron numerosos incidentes, como la extorsión para conseguir favores sexuales que, en caso de ser cometidos por policías, constituirían un delito o una conducta indebida. Algunos hechos tuvieron lugar hace varios años, pero también hubo incidentes recientes. Brenda D. relató a Human Rights Watch un incidente que ocurrió en diciembre de 2011:

Entré en un auto con una persona. Me hizo saber que era policía y dijo: ‘Si me ayudas, yo te ayudar’ a ti”. Me dijo que quería tener sexo oral. Me mostró una identificación. Me dijo que si no tenía sexo oral con él, iba a llamar a la policía y me iban a detener por prostitución[74].

Valerie S., una trabajadora sexual transgénero de Queens relató un incidente que, según dijo, había ocurrido tres meses antes:

Se me acercó un policía de origen asiático. Pensé que se trataba de un cliente y subí a su automóvil. Puse mi mano sobre la suya, no me lo permitió, y siguió manejando. En el semáforo, intenté bajar del vehículo. Me dijo: ‘No te bajes, soy policía’, y me mostró su identificación. Me dijo que quería tener sexo oral. Y pensé: ‘¿Qué hago?’. Miré su identificación, no quería que me detuviera[75].

Mona M., una ex trabajadora sexual que actualmente realiza tareas de contacto con la comunidad transgénero de Queens, manifestó a Human Rights Watch:

Algunas chicas me contaron que tienen un acuerdo con la policía. Ese acuerdo significa: ‘Si tienes sexo conmigo, los cargos en tu contra desaparecerán’[76].

Ninguna de estas personas realizó una denuncia ante la policía ni ante ninguna otra autoridad. Anna E., fue obligada a mantener relaciones sexuales con un policía de la Ciudad de Nueva York en Queens en 2006: Anna explicó por qué nunca había denunciado el incidente:

No lo hice porque estaba demasiado aterrorizada por todos los demás encuentros con la policía; no lo denuncié hasta este momento [en que lo estoy compartiendo con Human Rights Watch]. He sido discriminada tantas veces y he tenido que enfrentar tantos problemas en tantos casos, y me sentí tan afectada psicológicamente por este hecho, que no quería complicar más las cosas. Pero si psicológicamente me sintiera en condiciones de hacerlo, lo haría, porque pienso que es importante[77].

El maltrato de personas transgénero por parte de miembros del Departamento de Policía de la Ciudad de Nueva York ha sido documentado por Amnistía Internacional y otras organizaciones[78]. El 12 de junio de 2012, este departamento anunció que reformaría la guía de patrullaje oficial con el objeto de mejorar la interacción entre la policía y los miembros de la comunidad transgénero[79]. Si bien esto constituye un avance, el testimonio de las personas entrevistadas para este informe indica que aún queda mucho por hacer para proteger los derechos humanos de los trabajadores sexuales y las personas transgénero en la Ciudad de Nueva York.

Jóvenes LGBT afectados por el uso de preservativos como prueba

Los hombres que mantienen sexo con otros hombres y la población joven de lesbianas, gais, bisexuales y personas transgénero (LGBT) están expuestos a un alto riesgo de infección con VIH en la Ciudad de Nueva York. En 2009, los diagnósticos de VIH en hombres que mantienen relaciones sexuales con otros hombres de entre 13 y 29 años superaron, por primera vez, los de hombres de 30 años de edad y más[80]. En la Ciudad de Nueva York, entre 2006 y 2010, los nuevos casos de infección con VIH entre varones jóvenes que tienen sexo con otros hombres, particularmente los varones jóvenes de color, fueron más elevados, en forma sostenida, que en cualquier otra categoría de transmisión[81].

Uno de cada cuatro adolescentes LGBT abandona su hogar o es obligado a irse, y entre el 20 y el 40 por ciento de los jóvenes sin hogar se identifican a sí mismos como LGBT[82]. En muchos casos, es posible que no se identifiquen como trabajadores sexuales, pero a veces intercambian sexo por dinero, alimentos u otros favores. Diversos jóvenes LGBT han denunciado que algunos policías que intervienen en operativos contra la prostitución los persiguen por tener preservativos en su poder.

Streetwise and Safe (SAS) es una organización de incidencia que trabaja para ayudar a jóvenes LGBT de color. Su labor se centra en objetar leyes penales, políticas y prácticas lesivas que afectan a esta población. En 2011, SAS participó en investigaciones llevadas a cabo por PROS Network (Providers and Resources Offering Services to sex workers) y el Departamento de Salud e Higiene Mental de Nueva York (New York Department of Health and Mental Hygiene, DOHMH) entrevistando a pares de su grupo etario y otras personas en relación con actos de hostigamiento policial vinculados con preservativos. De las personas encuestadas por miembros de SAS, el 60 por ciento habían sido interceptadas y palpadas por un policía, y un tercio dijo que la policía le había quitado los preservativos. La mitad de las personas entrevistadas expresó que temía llevar preservativos porque podía tener problemas con la policía[83].

Un grupo de trabajadores de contacto con la comunidad que se enfocan en los jóvenes LGBT relataron a Human Rights Watch el caso de una joven de Manhattan que se negaba a llevar más de un preservativo, por miedo a ser detenida:

Yo estaba repartiendo preservativos en Tompkins Square Park. Apareció una joven y se llevó dos. Le dije ‘puede llevarse más’, pero ella respondió ‘no, me van a detener’. Tenía miedo de llevarlos... Tendría 18 [años][84].

En mayo de 2011, SAS organizó un foro con el Fiscal de Distrito de Manhattan (Manhattan District Attorney), Cyrus Vance, en el cual se abordaron diversos temas de justicia penal. Aproximadamente 50 jóvenes LGBT dieron su testimonio acerca de la práctica policial de confiscar los preservativos y utilizarlos como pruebas de prostitución y merodeo, para sustanciar acusaciones de prostitución[85]. Según señaló Andrea Ritchie, abogada de derechos civiles y activista y coordinadora de SAS:

Uno de los principales destinatarios de las iniciativas de prevención del VIH, incluida la distribución de preservativos en escuelas, centros sociales y comunidades, son los jóvenes LGBT. Al mismo tiempo, estas personas representan un número desproporcionado de jóvenes sin hogar y, por tanto, se encuentran sujetas a intensas prácticas de control policial en espacios públicos... Habitualmente son identificadas, en función de criterios selectivos, como personas involucradas en delitos vinculados con la prostitución, y son interceptadas y palpadas por miembros del Departamento de Policía de la Ciudad de Nueva York. Esto termina configurando una peligrosa combinación en la que los preservativos son confiscados y utilizados como prueba, con lo cual se menoscaban los esfuerzos del sector de salud pública y se criminaliza a los jóvenes LGBT[86].

Si bien no es el punto central del presente informe, la interferencia policial con la posesión de preservativos entre los jóvenes LGBT en la Ciudad de Nueva York amerita ser investigada con mayor profundidad.

Documentación de la tenencia de preservativos como prueba efectuada por el Departamento de Salud e Higiene Mental de la Ciudad de Nueva York y el Urban Justice Center/PROS Network

En el verano y el otoño de 2010, el Proyecto de Trabajadores Sexuales (Sex Worker Project) de Urban Justice Center y PROS Network brindaron asistencia al Departamento de Salud e Higiene Mental (Department of Health and Mental Hygiene, DOHMH) de la Ciudad de Nueva York para realizar una encuesta de trabajadores sexuales en esta ciudad, que tuvo por objeto determinar la prevalencia de la práctica policial que utiliza los preservativos como prueba de prostitución. Las conclusiones de esta encuesta no se dieron a conocer públicamente, ni siquiera a PROS Network, hasta que Human Rights Watch obtuvo una versión editada en febrero de 2012, tras presentar un pedido en virtud de la Ley de Libertad de Información (Freedom of Information Law) de Nueva York. Los resultados indicaron que, de 63 personas encuestadas, el 81 por ciento habían sido interceptadas y palpadas por policías de la Ciudad de Nueva York; al 57 por ciento, un policía de la Ciudad de Nueva York le había quitado los preservativos; y el 29 por ciento dijo que alguna vez no había llevado preservativos por temor a tener problemas con la policía. Cuando a estas personas se les pidió que explicaran qué cuestión vinculada con la policía hacía que tuvieran temor de llevar preservativos, las respuestas hicieron referencia a su propia experiencia de detención, a haber escuchado que los preservativos podían hacer que fuesen señaladas como prostitutas, y la vergüenza que podría causarles que se les confiscaran los preservativos[87].

En función de este informe, el DOHMH incluyó el problema que representa el uso de preservativos como prueba en su Plan Mejorado Integral de Prevención del VIH 2011 (2011 Enhanced Comprehensive HIV Prevention Plan, ECHPP), que se presentó a los Centros para el Control y la Prevención de Enfermedades en marzo de 2011, destacó su apoyo al proyecto legislativo que está siendo tratado en la legislatura del estado de Nueva York, que prohibiría utilizar los preservativos como prueba de prostitución, y señaló que estaba en pláticas con el Departamento de Policía de la Ciudad de Nueva York sobre el tema[88]. No obstante, en una entrevista con The New York Times publicada el 24 de abril de 2012, un vocero del DOHMH informó que el departamento había revertido su posición:

 

Después de que el Comisionado revisó el estudio que determinó que la ley actual no ha tenido como resultado que los trabajadores sexuales, en forma sistemática, optaran por no llevar preservativos por temor a ser detenidos, decidió no brindar su apoyo a la norma. No hemos podido comprobar que la ley actual menoscabe los objetivos de salud pública de la distribución de preservativos[89].

Sobre la base de estas conclusiones, el Sex Worker Project del Urban Justice Center y PROS Network continuaron realizando nuevas entrevistas en el otoño de 2011. En un informe publicado el 17 de abril de 2012, las dos organizaciones informaron que el 74 por ciento de los 35 trabajadores sexuales relevados habían sido interceptados y palpados por la policía, y el 46 por ciento de los trabajadores sexuales encuestados manifestó que al menos alguna vez no había llevado preservativos por temor a la policía. Quince trabajadores sexuales dijeron que la policía había confiscados sus preservativos, y seis de estas personas informaron que continuaron realizando el trabajo sexual después de la confiscación. De estos seis trabajadores sexuales que continuaron realizando el trabajo sexual después de la confiscación, tres no utilizaron protección[90].

Respuesta de los funcionarios públicos de la Ciudad de Nueva York

Human Rights Watch solicitó entrevistas con el Departamento de Policía de la Ciudad de Nueva York, los Fiscales de Distrito de los cuatro distritos analizados en este informe, y el Departamento de Salud e Higiene Mental de la Ciudad de Nueva York.

El Departamento de Policía de la Ciudad de Nueva York “declinó respetuosamente” la solicitud de reunión con Human Rights Watch[91]. El Departamento de Salud e Higiene Mental de la Ciudad de Nueva York no respondió a reiterados pedidos por escrito en los que se solicitaba una entrevista[92]. Hasta mayo de 2012, solamente los fiscales de distrito de Manhattan y Queens nos habían concedido entrevistas, aunque al momento de la elaboración del presente documento, la Fiscalía de Distrito de Manhattan no ha programado el encuentro. La Fiscalía de Distrito del Bronx respondió: “No hemos visto casos en los cuales se hayan recogido o utilizado tales pruebas [uso de preservativos como prueba de delitos vinculados con la prostitución]. Por lo tanto, en este momento no parece haber motivos que justifiquen coordinar una reunión”. Posteriormente, se solicitó a la fiscalía que aclarara su postura, pero no se obtuvo respuesta[93]. El Fiscal de Distrito de Brooklyn no respondió al pedido por el cual se solicitaba una entrevista, pero expresó públicamente que se oponía al proyecto legislativo que prohibía utilizar los preservativos como prueba[94].

Según lo expresó la Fiscalía de Distrito de Queens, los preservativos constituyen pruebas útiles en casos de delitos vinculados con la prostitución, y prohibir que se utilicen como prueba “causaría un grave perjuicio a nuestros casos”[95]. La fiscalía destacó la importancia de utilizar los preservativos como prueba en casos de tráfico de sexo y promoción de la prostitución, en los cuales las personas que presuntamente ejercen la prostitución, en su mayoría mujeres, son víctimas de explotación por parte de delincuentes. Lois Raff, asesora legal del Fiscal de Distrito de Queens, afirmó:

Dedicamos grandes esfuerzos a perseguir a proxenetas y traficantes de sexo por los delitos de promoción de la prostitución, secuestro y tráfico de sexo. También en ese contexto, los preservativos pueden ser una vía mediante la cual el proxeneta facilita la prostitución, al proporcionar preservativos[96].

El Fiscal de Distrito de Queens manifestó que los preservativos resultaban útiles en los operativos destinados a cerrar prostíbulos y otros establecimientos donde se desarrollan actividades de prostitución, tales como salones de manicura, hoteles y residencias. “Una gran cantidad de preservativos se utilizarán como prueba en estos casos”, señaló Raff[97]. En la actualidad, esta oficina impulsa seis investigaciones de tráfico de sexo y 65 casos de promoción de la prostitución, delitos cometidos a través de Internet y salas de masajes clandestinas pendientes de resolución. Con respecto al tráfico de sexo y la promoción de la prostitución, consideraron que los preservativos formaban parte de la prueba que había sido utilizada para la imputación de los delitos en dos de estos casos[98].

La política de “interceptación y cacheo” del Departamento de Policía de Nueva York

En la ciudad de Nueva York, es común que policías intercepten y palpen a los trabajadores sexuales y a las personas a quienes identifican, en función de criterios selectivos, como trabajadores sexuales. Estos actos forman parte de un problema más amplio de políticas policiales cuestionables, por las cuales se intercepta y se palpa a personas sin que exista una presunción de actividad delictiva. La Constitución de Estados Unidos y la legislación del estado de Nueva York permiten que la policía intercepte a una persona momentáneamente si el agente tiene sospechas razonables de que la persona en cuestión está cometiendo o ha cometido un delito. Asimismo, el agente puede palpar a la persona para determinar si porta un arma, en caso de tener sospechas razonables de que puede correr peligro de sufrir lesiones físicas[99]. En un proceso federal que aún se encuentra en trámite, Floyd v. City of New York, se objetó la práctica de interceptar y palpar a las personas que implementa el Departamento de Policía de Nueva York. La objeción se funda en que, de las casi 700,000 situaciones en que la policía intercepta y palpa a personas cada año, una cantidad sustancial de estos hechos no se basa en motivos que justifiquen una sospecha razonable, responden a criterios raciales y apuntan, de manera ilícita, a neoyorquinos negros e hispanos[100].

Si bien no se centraron específicamente en los casos en que se intercepta y palpa a personas en el marco de la aplicación de las leyes contra la prostitución y el merodeo, la parte actora del caso Floyd ha presentado amplias pruebas de que, en muchos casos, estas prácticas son impulsadas por una política del Departamento de Policía de Nueva York que establece un sistema de “cupos” para interceptar y detener a personas[101]. En virtud de esta política —que, según la explicación oficial del departamento, establece un “umbral mínimo de desempeño”, pero que según opinaron agentes actuales y ex agentes en verdad lo que hace es fijar “cupos”—, se brinda una recompensa a quienes intercepten en la vía pública a una cantidad determinada de personas por semana[102]. No está claro cuántos de los casos en que se intercepta a personas por sospechas de trabajo sexual se registran como “interceptación y cacheo”, pero muchos de los vecindarios donde estas situaciones se producen regularmente son los mismos en los cuales los trabajadores sexuales son frecuentemente interceptados. Jackson Heights, en Queens, por ejemplo, donde se producen muchos de los casos de hostigamiento de mujeres transgénero latinas que se documentan en este informe, tiene la tercera tasa más alta de interceptación y cacheo de la ciudad[103]. En la Ciudad de Nueva York, la indiferencia por el derecho de los trabajadores sexuales, las mujeres transgénero y los jóvenes LGBT a la libertad y la seguridad personal forma parte de una serie de problemas de derechos humanos más amplios que plantean las prácticas del Departamento de Policía de Nueva York.

Washington, DC

VIH en Washington, DC

La epidemia del VIH en Washington, DC es una de las más graves de Estados Unidos. La prevalencia total del VIH en el Distrito es tres veces más alta que el uno por ciento con que la Organización Mundial de la Salud define una epidemia generalizada[104]. Washington, DC tienen la tasa más alta de diagnóstico de sida y la segunda tasa más alta de nuevos casos de diagnóstico de VIH entre las principales áreas metropolitanas de Estados Unidos[105]. La mitad de la población del Distrito de Columbia es afroamericana[106]. No obstante, de las 17,000 personas que viven con VIH, el 75 por ciento son afroamericanas. La mayoría de las personas que viven con VIH en Washington, DC son hombres (72 por ciento), pero las mujeres negras en esta capital tienen 14 veces más probabilidades de vivir con VIH que las mujeres caucásicas[107]. El sexo entre hombres es el modo más frecuente de transmisión, y es la causa del 38 por ciento de la totalidad de los casos de personas que viven con VIH/sida. El 27 por ciento de las personas que viven con VIH/sida informa haberse infectado a través del contacto heterosexual, y el 16 por ciento mediante el uso de drogas inyectables[108].

En la última década, la respuesta del Distrito de Columbia al VIH fue duramente criticada. En 2005, la organización sin fines de lucro que trabaja en el sector de políticas públicas DC Appleseed Center for Law and Justice publicó una extensa crítica en la cual señalaba que la ciudad no contaba con presupuesto, planificación ni estrategias adecuadas para combatir la epidemia de VIH en el Distrito. El informe instaba a que se realizaran amplias reformas en infraestructura, coordinación y recursos de vigilancia, prevención, atención y servicios[109]. El mismo año, el Consejo de Planificación de la Prevención del VIH (HIV Prevention Planning Council) del Distrito solicitó a los Centros para el Control y la Prevención de Enfermedades del gobierno federal que intervinieran la oficina de VIH y sida de la ciudad, ya que no estaba cumpliendo con las fechas límite establecidas por las autoridades federales para desarrollar y dar a conocer datos epidemiológicos de fundamental importancia para la ciudad[110].

Después de la publicación de estos informes, se implementaron importantes cambios; por ejemplo, se nombró un nuevo director para el programa de VIH y se realizó una restructuración de la organización del Departamento de Salud del Distrito de Columbia. Desde la publicación del informe inicial, DC Appleseed publica, todos los años, un folleto donde brinda información sobre la labor realizada por el Distrito en la lucha contra el sida. El más reciente señala que se han realizado avances sustanciales en numerosas áreas, lo cual fue confirmado por datos del Departamento de Salud que muestran una reducción de la prevalencia del VIH a la cifra actual, que es del 3.2 por ciento; una disminución de la cantidad de casos nuevos de sida; un programa de estudios de detección que prácticamente logró duplicar la cantidad de pruebas de VIH y una disminución significativa en la cantidad de muertes por sida[111].

El gobierno municipal del Distrito de Columbia ha demostrado su compromiso de mejorar la respuesta a la epidemia del VIH, que continúa siendo una preocupación central para la administración actual. En 2011, el alcalde Vincent Gray designó una Comisión de la Alcaldía sobre VIH y Sida (Mayor’s Commission on HIV and AIDS) a fin de “ayudar a poner fin a la epidemia del VIH en el Distrito de Columbia concentrándose en el tratamiento, las necesidades de las personas que viven con sida y la prevención para evitar nuevas infecciones”[112]. La Comisión estará integrada por proveedores de servicios médicos, académicos, miembros de comunidades religiosas y representantes del gobierno, quienes brindarán recomendaciones sobre las prácticas más efectivas para mejorar la atención, los servicios y los programas de prevención. En julio de 2012, la ciudad será sede de la 19.a Conferencia Internacional Anual sobre Sida, y la atención del público se centrará especialmente en la epidemia y la respuesta ofrecida por el Distrito.

Un área en la cual se lograron mejoras sensibles es la distribución de preservativos en el Distrito de Columbia: en 2010 se distribuyeron cuatro millones de preservativos, en comparación con los 115,000 repartidos en 2006 [113] . La denominada Revolución del Condón (Rubber Revolution), que forma parte del programa de prevención del VIH que puso en marcha el Distrito de Columbia, utiliza recursos como Internet y otros medios sociales para promover el uso de preservativos. El sitio web de la Revolución del Condón dice:

Hoy es el día que usted se une a la Revolución del Condón, un nuevo movimiento en Washington, DC para sacar los condones de su escondite. Queremos que saquen los condones de sus carteras, de sus bolsos y de debajo de las camas de todos los barrios en la ciudad. Queremos los condones en las manos de los hombres y las mujeres de DC para una experiencia sexual responsable y llena de placer. Estamos creando un movimiento de personas que asuman el compromiso de obtener condones y utilizarlos. Nunca más tendremos que ocultar los condones[114].

Controles contra la prostitución en Washington, DC

Las leyes de Washington, DC prohíben participar en actos de prostitución u ofrecer servicios de prostitución, un delito que se define como “acto o contacto sexual con otra persona, a cambio del cual se da o recibe dinero”[115]. Las sanciones van desde una multa que no supera los US$ 500 y/o una pena de prisión de 90 días, si la persona no tiene antecedentes, hasta una posible condena de dos años de prisión para casos de reincidencia por tercera vez[116].

En 2005, el Consejo del DC sancionó la Ley Ómnibus de Seguridad Pública (Omnibus Public Safety Act) que dispuso la declaración de “Zonas libres de prostitución” (Prostitution-Free Zones, PFZ) por parte del Departamento de Policía Metropolitana (Metropolitan Police Department, MPD). En virtud de esta ley, el Departamento de Policía Metropolitana puede designar un área como PFZ si en ese lugar se verifica una cantidad “desproporcionadamente alta” de detenciones por prostitución o de llamados para solicitar la intervención policial en relación con la prostitución durante los seis meses anteriores, o si existen “pruebas objetivas o información comprobable” que indiquen que en ese lugar existe una alta incidencia de prostitución[117].

En las denominadas “zonas libres de prostitución”, la policía puede detener o dispersar a las personas que se determine que están participando en actos de prostitución u ofreciendo servicios de prostitución, en función de diversos comportamientos y factores similares a los enumerados en las leyes de merodeo con fines vinculados con la prostitución de la Ciudad de Nueva York. Dichos comportamientos y factores incluyen no sólo conductas como atraer a los automóviles y dialogar con transeúntes, sino ser “conocido como una persona que participa en actos de prostitución o delitos vinculados con la prostitución”[118]. Además, en las PFZ, la policía puede detener a dos o más personas cuando se pueda “creer razonablemente” que se reúnen para fines vinculados con la prostitución, y estas no se dispersen ante una orden policial[119]. La declaración de una PFZ puede llegar a extenderse durante 480 horas consecutivas a partir de que el Departamento de Policía Metropolitana publique la notificación en la zona[120].

Si bien la prostitución es ilegal en toda el área de Washington, DC, las amplias leyes sobre merodeo que permiten realizar detenciones basadas en diversas pruebas circunstanciales sólo pueden aplicarse dentro de una zona que haya sido oficialmente declarada como PFZ. Esta ley no tardó en generar controversias, y un amplio espectro de grupos de la comunidad y defensores de las libertades civiles manifestaron su oposición[121]. No obstante, no se ha interpuesto hasta el momento un recurso legal para impugnarla, fundamentalmente porque el Departamento de Policía Metropolitana nunca ha detenido a ninguna persona por negarse a dispersarse en virtud de la ley de las PFZ, de modo que la legalidad de la norma nunca ha sido analizada por la justicia[122].

La práctica del Departamento de Policía Metropolitana de dispersar a las personas de las zonas libres de prostitución dio lugar a acciones de incidencia en la comunidad de trabajadores sexuales y personas transgénero. La identificación automática por parte de la policía de las personas transgénero como individuos que ejercen la prostitución fue un factor significativo para que la comunidad transgénero se organizara e iniciara acciones para incorporar a las personas transgénero y las personas que no se adecuan a los estereotipos de género a la Ley de Derechos Humanos (Human Rights Act) de la ciudad en 2005[123]. Después de dos años de negociaciones entre la comunidad transgénero y el Departamento de Policía Metropolitana, este último emitió una serie de pautas para orientar la interacción entre miembros de la fuerza policial y las personas transgénero, que incluye la prohibición de asociar automáticamente a las personas transgénero con trabajadores sexuales:

Los miembros se abstendrán de interpretar las expresiones o presentaciones de género como sospecha razonable o prueba prima facie de que una persona está participando en actos de prostitución o en cualquier otro delito[124].

En enero de 2012, el Consejo del DC analizó un proyecto de ley promovido por la concejala Yvette Alexander para ampliar las zonas libres de prostitución[125]. El nuevo proyecto habría permitido que el Departamento de Policía Metropolitana estableciera zonas libres de prostitución en forma permanente, por un período ilimitado. Entre 2009 y 2012, las detenciones por delitos vinculados con la prostitución se redujeron en casi un 50 por ciento, de 1,695 en 2009 a 845 en 2011[126]. En un testimonio vertido ante la Comisión Judicial (Committee on the Judiciary) en relación con el proyecto de ley, el subjefe de Policía Peter Newsham se opuso a la expansión de las zonas libres de prostitución, y explicó que tenían escasa relación con la reducción en las detenciones por prostitución en los últimos años. Newsham declaró que las zonas libres de prostitución no habían reducido la prostitución en el Distrito en forma significativa. En lugar de ello, la habían “desplazado temporalmente”[127]. Subrayó que las denuncias de prostitución presentadas por ciudadanos, así como las detenciones, habían disminuido en forma sostenida en los últimos años, y atribuyó esa reducción a varios factores que no estaban vinculados con la delimitación de zonas libres de prostitución, como por ejemplo, el traslado de muchas actividades de prostitución a lugares cerrados o a través del Internet. Con respecto a la prostitución callejera, declaró que, en su experiencia, muchas personas que participan en este tipo de prostitución usan drogas o tienen problemas de salud mental, y que “este no es un problema que pueda solucionarse con detenciones”. Newsham instó a que se aumentaran los servicios sociales que se brindan a la población que participa en actos de prostitución[128].

La Fiscalía General para el Distrito de Columbia (Office of the Attorney General for the District of Columbia) también brindó su testimonio contra la ampliación de las zonas libres de prostitución: subrayó que la constitucionalidad de la legislación original sobre las PFZ era pasible de objeción y que, por su imprecisión, el proyecto de ley de expansión era aún más proclive a ser declarado inconstitucional[129]. La Comisión volvió a enviar el proyecto legislativo, en su totalidad, al Consejo para su reconsideración. Hasta junio de 2012, el proyecto no había sido promulgado[130]. La legislación original sobre zonas libres de prostitución todavía continúa vigente.

Los preservativos como prueba de prostitución

En Washington, DC, trabajadores sexuales explicaron a Human Rights Watch que los preservativos eran usados por la policía cuando interceptaba a personas por sospechas de prostitución.

Personas interceptadas y palpadas en busca de preservativos

En Washington, DC, al igual que en otras jurisdicciones, para que sea lícito interceptar a una persona, debe existir una sospecha razonable de actividad delictiva, y para que la decisión de palpar a una persona sea lícita, debe basarse en una causa probable de detención relacionada con una acusación específica[131]. No obstante, cuando una persona es interceptada, no siempre se produce una detención, y en la mayoría de los casos de interceptación informados a Human Rights Watch, los policías interrogaron a las personas involucradas, las palparon, y les ordenaron que continuaran “circulando”, sin que esto tuviera como resultado una detención. Fue en estas situaciones que los trabajadores sexuales estuvieron con mayor frecuencia “en la mira” por llevar preservativos, en el contexto de acciones tendientes a hacer cumplir las leyes contra la prostitución.

Annie P., una mujer transgénero afroamericana que había sido trabajadora sexual, relató a Human Rights Watch:

Dejé de prostituirme hace tres años. Pero mi novio sigue viviendo en mi antiguo vecindario, y cuando camino por ahí, los policías me detienen porque piensan que aún estoy trabajando. Hace algunos meses, venía de visitar a mi novio, y aún llevaba conmigo tres preservativos. Los policías me interceptaron, me pidieron que vaciara mis bolsillos y me preguntaron por qué llevaba tantos preservativos. Yo respondí: ‘porque mi novio y yo lo hacemos muchas veces’. Pero no me creyó, y me hizo esperar mientras verificaba si yo tenía acusaciones anteriores por prostitución. Como no había ninguna acusación reciente, me dejó ir[132].

Cassandra A., una mujer transgénero que es trabajadora sexual, relató:

Me interceptaron en 4th Ave y Rhode Island Avenue. Una amiga y yo habíamos conseguido que nos llevaran hasta la tienda, y estábamos saliendo del automóvil cuando apareció un grupo de policías de la división de vicios. Estaban buscando drogas o algo así, entonces nos palparon de arriba abajo, y me preguntaron a mí por qué llevaba un preservativo. Me preguntaron si me estaba prostituyendo. ‘¿Estos tipos te regentean?’. Dije que no, y como no teníamos drogas, nos dejaron ir. Esto ocurre todo el tiempo: te preguntan por los preservativos que llevas, y una de las preguntas básicas que te hacen los policías cuando te paran es si eres una prostituta conocida[133].

Lee H., una trabajadora sexual afroamericana, también señaló que los policías suelen buscar preservativos cuando interceptan a una persona:

Hace tres meses, en la zona del centro, me interceptó la policía. Me hicieron poner las manos sobre la patrulla y revisaron mi bolso. Me preguntaron por qué tenía tantos preservativos. Tenía 15 preservativos en mi bolso, y si tienes más de dos, piensan que te prostituyes. Les dije que la cantidad de preservativos que yo llevara no era asunto suyo. Dije que podía andar por ahí haciendo mis cosas, y que era mejor tener muchos que quedarse sin suficientes preservativos. No son ellos quienes tienen que decirme cuántos preservativos puedo tener... Fue la tercera o la cuarta vezqueme ocurrió esto en el DC[134].

Zinnia F., una trabajadora sexual transgénero de la zona del centro, manifestó:

Sí, eso ocurre, te preguntan: ‘¿Por qué tienes tantos preservativos?’ Por este hecho, nadie anda por ahí con un montón de preservativos. Me ocurrió dos veces, una vez durante el verano pasado. Fue en la zona de la calle K[135].

Felicia C., una trabajadora sexual de Columbia Heights, dijo a Human Rights Watch:

Ah, sí, en la 14y Perry, el 26de diciembre, unos policías me acosaron y me dijeron que arrojara mis preservativos a la basura. Les dije: ¡No, no los voy a tirar a la basura! ¡No quiero morirme!’[136].

Los trabajadores de contacto con la comunidad también dijeron que los trabajadores sexuales expresan temor de que la policía les encuentre preservativos. Jenna Mellor, Directora de Iniciativas de Contacto de HIPS (Helping Individual Prostitutes Survive), es responsable de la camioneta que, varias veces por semana, brinda preservativos, agujas limpias y otros materiales de reducción de daños a los trabajadores sexuales. Mellor dijo a Human Rights Watch:

El temor a llevar preservativos es un verdadero problema. Los clientes llevan menos preservativos de los que necesitan porque tienen miedo de la policía. También ocultan los preservativos en su ropa, en sus pelucas, en el escote, para evitar ser hostigados por policías[137].

Mellor también explicó que, en general, la policía tiene una actitud de tolerancia con la camioneta de iniciativas de contacto con la comunidad, pero en algunas ocasiones hubo patrulleros que la siguieron. Hace poco tiempo, un patrullero esperó que una persona transgénero se acercara a la camioneta, y entonces los agentes salieron del vehículo, la interceptaron y la palparon: “Algunos policías colaboran y nos dejan tranquilos, pero de ningún modo puedo decir que sean 100 por ciento tolerantes”[138].

Monica B. coordina el grupo de apoyo para personas transgénero en HIPS y realiza tareas de contacto dirigidas a trabajadores sexuales, con el propósito de que conozcan al grupo:

Hace tres meses, estaba en la zona del centro realizando tareas de contacto con la comunidad. Entrego preservativos e informo a la gente acerca del programa [de HIPS]. Los policías me detuvieron y revisaron mi bolso. Me preguntaron qué hacía con todos esos preservativos. Expliqué que realizaba trabajos de contacto con la comunidad y estaba promocionando mi grupo. No me detuvieron, pero les aseguro que me hicieron pasar un mal momento[139].

Lina C., una trabajadora sexual transgénero afroamericana, relató una experiencia reciente que había tenido mientras se encontraba en la “zona roja” (una zona donde habitualmente hay actividad de trabajo sexual):

El verano pasado yo estaba en la ‘zona roja’. Acababa de pasar por la camioneta [de HIPS] y me preguntaron por qué tenía tantos preservativos. Respondí que acababa de pasar por la camioneta. Me preguntaron por mis antecedentes, si anteriormente había sido detenida. También se acercaron a la camioneta para constatar lo que había dicho. No me detuvieron, pero me estuvieron molestando durante 45 minutos[140].

Algunos trabajadores sexuales hicieron referencia a una “regla de los tres preservativos” en el Distrito de Columbia. Nila R. manifestó a Human Rights Watch que había recibido esa información de un policía:

En 2011, me detuvieron en el 5.º distrito. El policía me dijo que podía tener tres preservativos y arrojó el resto; yo tenía diez en total. Además, si te encuentran un preservativo abierto, es seguro que te acusan. Me detuvieron por ese motivo; los policías me dijeron que me estaba siendo detenida por tener un preservativo abierto[141].

Madison M., una trabajadora sexual entrevistada en un motel situado en la zona noreste de la ciudad, declaró:

A mí, particularmente, no me molestaron, pero escuché que había una norma que decía que solamente se pueden llevar tres preservativos[142].

Abuso de mujeres transgénero por policías

La mayoría de las personas entrevistadas que afirmaron haber sido interceptadas y palpadas en busca de preservativos eran mujeres transgénero, y en sus relatos describieron conductas abusivas por parte de policías.

Jody B., una persona transgénero de 23 años que cambió su género de mujer a hombre, declaró:

La policía pregunta constantemente: ‘¿Cuánto estás cobrando?’. En octubre, estaba saliendo con mi novio del teatro China en el barrio chino cuando nos interceptaron, me palparon, y yo tenía preservativos en mi bolso. Logramos disuadirlos, y no nos detuvieron. Las personas transgénero nos acostumbramos a no denunciar estas cosas. Es difícil; por el momento, estoy reconsiderando ser una persona completamente transgénero, porque es difícil[143].

Lina C. dijo que los encuentros con la policía solían ser traumáticos:

Me detuvieron el año pasado, y fue humillante. Me desfiguraron. Me quitaron la peluca y la pisotearon en el suelo, luego me la devolvieron cuando me subieron al automóvil[144].

Monica B. declaró que en su trabajo de contacto con la comunidad había visto estos actos de “desfiguración” y otros abusos cuando la policía interceptaba a personas:

Es habitual que policías extorsionen a las personas para mantener relaciones sexuales, les quita los rellenos y los tiran en la calle; esto no ocurre todos los días, pero sí con regularidad[145].

Respuesta de los funcionarios públicos de Washington, DC

El subjefe de Policía Peter Newsham expresó preocupación porque la policía estuviera desalentando el uso de preservativos entre los trabajadores sexuales o cualquier otra persona. Dijo que los preservativos podían usarse como prueba complementaria obtenida en forma “conexa a la detención”. Explicó que en Washington, DC, los casos de prostitución no se consideran de alta prioridad y que las detenciones que se realizan suelen ser “provocadas por denuncias”, lo cual significa que miembros de la población se han quejado por la actividad en sus vecindarios. Según el subjefe Newsham, el énfasis está puesto ahora en los casos de proxenetismo y trata de personas, y la prioridad es acusar a quienes explotan a las mujeres involucradas. Newsham afirmó que los preservativos pueden ser útiles como prueba complementaria en estos casos y que continuarán siendo decomisados en el lugar del hecho[146].

Asimismo, Newsham recalcó que es necesario palpar a las personas únicamente si existe una presunción fundada de un delito que justifique la detención. Se mostró preocupado al saber que había personas que informaron haber sido interceptadas y palpadas en circunstancias que sugerían que no hubo presunción fundada. También expresó su preocupación de que personas transgénero afirmaran que estaban siendo señaladas en función de criterios selectivos y que habían sufrido otros abusos, y preguntó si habían presentado denuncias. Al enterarse de que algunas personas a menudo tenían miedo de presentar denuncias policiales, destacó que existen medios anónimos para plantear denuncias y se comprometió a adoptar medidas para asegurar que los miembros de la comunidad tomaran conocimiento sobre la disponibilidad de estos métodos[147].

El subjefe Newsham expresó su preocupación respecto de que la policía estuviera “opinando” sobre los preservativos de un modo que se entendiera como una amenaza de que los trabajadores sexuales serían detenidos por llevar preservativos. Newsham dijo que consideraría la posibilidad de emitir pautas que prohíban dichos comentarios y que se encargaría de recordar a los oficiales del Departamento de Policía Metropolitana (Metropolitan Police Department, MPD) la importancia de fomentar el uso de preservativos. Aceptó reunirse con funcionarios de salud pública, otros funcionarios de la ciudad y miembros de la comunidad de trabajadores sexuales para analizar las medidas que puede tomar el MPD para abordar todas estas cuestiones[148].

Linda Kay Davis, jueza del sector especial de “causas sobre prostitución” del Tribunal Penal dijo que, en dos años a cargo de casos individuales de prostitución, nunca se habían presentado preservativos como prueba en su tribunal[149].

Por una cuestión de política pública, el Fiscal Gederal (US Attorney) no hizo comentarios sobre el tema de los preservativos, ni sobre ninguna otra prueba en sus casos[150].

El Departamento de Salud de Washington, DC respondió con preocupación a las conclusiones de este informe y aceptó considerar propuestas de organizaciones comunitarias planteadas ante la Conferencia Internacional sobre el Sida[151].

Los Ángeles

VIH en Los Ángeles

El condado de Los Ángeles es un área que se ha expandido rápidamente y alberga a aproximadamente 10 millones de personas[152]. El condado incluye la ciudad de Los Ángeles y varias ciudades más pequeñas. El Departamento de Salud Pública del Condado de Los Ángeles (Los Angeles County Department of Public Health, LADPH) reúne estadísticas sobre VIH y sida para el condado de Los Ángeles, y este recibe además financiamiento del Gobierno federal para iniciativas relacionadas con el VIH[153]. Se estima que en este condado hay 59,500 personas que viven con VIH[154]. El 40 por ciento de las personas que viven con VIH en el condado de Los Ángeles son latinas[155]. En 2012, el 80 por ciento de los nuevos diagnósticos de VIH correspondieron a hombres que mantienen relaciones sexuales con otros hombres y el 11 por ciento a personas que informaron tener contacto heterosexual. Entre las mujeres, la mayoría de las nuevas infecciones de VIH se produjeron en mujeres latinas (42 por ciento), en comparación con el 39 por ciento en mujeres afroamericanas y el 14 por ciento en mujeres caucásicas[156].

Según el Departamento de Salud Pública del Condado de Los Ángeles, se estima que hay 926 personas transgénero que viven con VIH en el condado de Los Ángeles[157]. Dado que se desconoce el tamaño total de la población transgénero, la tasa de infección de VIH es difícil de determinar[158]. No obstante, existe en Los Ángeles una comunidad transgénero numerosa y dinámica, y la infección de VIH es una de sus mayores preocupaciones. En 2001, varias organizaciones comunitarias trabajaron en colaboración con el Departamento de Salud Pública del Condado de Los Ángeles para publicar un estudio sobre la salud de las personas transgénero[159]. Los autores observaron la falta de información disponible sobre la salud de una “población marginada y que no recibe atención suficiente”, y encuestaron a 244 personas transgénero que cambiaron de género masculino a femenino[160].

El informe de 2001 del Departamento de Salud Pública del Condado de Los Ángeles observó una prevalencia del VIH entre este grupo del 22 por ciento, y comprobó que muchas de estas personas desconocían que estaban infectadas. La mitad de los participantes tenía un ingreso anual de menos de US$ 12,000, y la mitad también indicó que su principal ingreso provenía del trabajo sexual. A pesar de que el nivel de conocimiento sobre la transmisión del VIH era alto, el uso de preservativos no era uniforme, y el 29 por ciento de las personas que habían mantenido relaciones sexuales a cambio de dinero u otros bienes en los últimos seis meses declararon que no siempre usaron un preservativo. El 37 por ciento informó abuso verbal o acoso por parte de policías. El informe concluyó, entre otras recomendaciones, que se “necesitaban con urgencia” programas de prevención del VIH destinados específicamente a mujeres transgénero en Los Ángeles[161].

Otra evaluación de las necesidades de las personas transgénero realizada por el Departamento de Salud Pública del Condado de Los Ángeles en 2007 determinó que de las 80 personas transgénero encuestadas, una de cada cinco era VIH positiva. Se identificaron diversos factores asociados con el alto riesgo de infección con VIH, incluidos el trabajo sexual, el desempleo y la transfobia. Un tercio de las personas transgénero entrevistadas había intercambiado sexo por dinero u otros bienes. La evaluación de necesidades fue citada en el Plan de Prevención del VIH para 2009-2013 del Departamento de Salud Pública del Condado de Los Ángeles, que concluyó que las personas transgénero eran una “población destinataria prioritaria y fundamental” de medidas de prevención del VIH en Los Ángeles[162].

Una mayor distribución de preservativos a grupos de alto riesgo también es una de las principales prioridades para el Departamento de Salud Pública del Condado de Los Ángeles. Junto con Nueva York, Washington, DC y San Francisco, Los Ángeles participa de una iniciativa de financiamiento de los Centros para el Control y la Prevención de Enfermedades (Centers for Disease Control, CDC) de Estados Unidos, que se concentra en los centros urbanos de alta prevalencia como parte de su implementación de la Estrategia Nacional sobre VIH/sida. (Aunque el nombre del programa es “12 ciudades”, la entidad que recibe financiamiento federal es el condado de Los Ángeles)[163]. Una de las intervenciones requeridas para la prevención del VIH para todos los participantes del programa “12 ciudades” es una mayor distribución de condones entre poblaciones con alto riesgo. Los Ángeles prevé cumplir con esta meta aumentando la distribución a poblaciones con alto riesgo y promoviendo un preservativo que llevará la marca Los Ángeles[164].

En otras oportunidades, funcionarios de salud pública han trabajado con el Departamento de Policía de Los Ángeles para abordar casos de acciones de orden público que obstaculizaban las iniciativas de prevención del VIH. En 2005 el jefe de Policía William Bratton emitió lo que se conoció como “Declaración Bratton”, un ejemplo sobre un método efectivo para aunar los esfuerzos de las autoridades de aplicación de la ley, organismos de salud pública y promotores de iniciativas contra el VIH con la finalidad de asegurar que las personas que usan drogas tengan acceso a programas de sustitución de jeringas sin intervención de la policía. La Declaración Bratton estableció pautas claras que debían ser cumplidas por todos los miembros del Departamento de Policía de Los Ángeles, que pusieron en relieve la importancia de los programas de sustitución de jeringas de la ciudad para la prevención del VIH y prohibieron que los policías incautaran jeringas como prueba de tenencia de drogas a quienes participaban en el programa de sustitución de jeringas[165].

Antecedentes de abuso policial de personas transgénero en Los Ángeles

Numerosos defensores de salud pública y derechos humanos han documentado antecedentes inquietantes de abuso y persecución policial de personas transgénero en Los Ángeles. Según el Estudio sobre Salud de Personas Transgénero de 2001, el 37 por ciento de las personas transgénero entrevistadas había padecido abuso verbal o persecución por parte de policías. El informe de 2005 de Amnistía Internacional Stonewalled: Police Abuse and Misconduct Against Lesbian, Gay, Bisexual and Transgender People in the United States documentó que agentes del Departamento de Policía de Los Ángeles aplicaban criterios selectivos para identificar a las personas transgénero como trabajadores sexuales, así como casos de abusos verbales y físicos en la calle y trato cruel, inhumano y degradante mientras estas personas permanecían bajo custodia policial[166].En un libro publicado recientemente del cual Andrea Ritchie es coautora, y quien también fungió como consultora para el informe de Amnistía Internacional, se informaron numerosos incidentes de abuso policial en Los Ángeles, incluida la presunta violación de una mujer transgénero por un policía del LAPD[167].

En abril de 2012, Bienestar, una organización dedicada a la defensa de los derechos de la comunidad latina, difundió los resultados de una encuesta de mujeres transgénero latinas en la cual se indagó sobre sus interacciones con las autoridades de aplicación de la ley en el condado de Los Ángeles[168]. Bienestar entrevistó a 220 personas transgénero latinas que habían cambiado su género de hombre a mujer, que en el 95 por ciento de los casos habían nacido fuera de Estados Unidos y la mitad de las cuales eran indocumentadas. Una de cada tres describió su condición de empleo como “trabajadora sexual”, mientras que casi la mitad informó que actualmente intercambiaba sexo por alimentos, dinero, un lugar donde alojarse o drogas. Según el informe, la mayoría había sido acosada verbalmente por policías, una de cada cinco había sido víctima de agresiones físicas por parte de autoridades de aplicación de la ley, y una de cada cuatro había sufrido agresiones sexuales por parte de funcionarios de seguridad pública. Para la mayoría de las participantes de la encuesta, ser identificada automáticamente como una trabajadora sexual era algo habitual, y estas personas informaron que era común que fueran interceptadas por policías mientras esperaban el autobús o volvían de la tienda de comestibles. La mayoría de los incidentes nunca se denunciaron porque las personas temían ser víctimas de otros abusos policiales o que intervinieran las autoridades de inmigración. El informe recomendó mejorar las capacitaciones que se brindan a los funcionarios que interactúan con personas transgénero, adoptar políticas viables que prohíban el abuso y la conducta indebida y designar un oficial de enlace entre los organismos de aplicación de la ley y la comunidad transgénero[169].

En abril de 2012, el Departamento de Policía de Los Ángeles emitió nuevas pautas para la interacción con personas transgénero[170]. Entre las pautas se incluyó el “reconocimiento de que las identidades de género y las expresiones de género no tradicionales no constituyen presunción razonable ni prueba prima facie de que una persona participe o haya participado en prostitución o cualquier otro delito”[171]. Si bien fueron publicadas menos de tres semanas después del informe de Bienestar, las nuevas pautas representan el resultado de varios años de negociación entre organismos de la ciudad, la comunidad transgénero y promotores de iniciativas contra el VIH. En 2009, el Consejo de Planificación de la Prevención del VIH (HIV Prevention Planning Council) creó un grupo de trabajo sobre personas transgénero que recomendó implementar numerosas reformas en la justicia penal, incluida la reconsideración de la práctica de usar preservativos como prueba de prostitución[172]. Tras este informe, se formó el Grupo de Trabajo sobre Personas Transgénero (Transgender Working Group, TWG), una coalición de organizaciones comunitarias y otras dedicadas a la asistencia legal, organismos de la ciudad y el Departamento de Policía de Los Ángeles, que trabaja para mejorar el trato impartido a las personas transgénero en el sistema de justicia penal de la ciudad. El TWG también emitió recomendaciones sobre reforma de la justicia penal, incluida la conveniencia de abandonar la práctica por la cual se admite la tenencia de preservativos como prueba de prostitución[173]. El Departamento de Policía de Los Ángeles adoptó algunas de estas recomendaciones, incluidas las pautas para la interacción de la policía con personas transgénero, nuevos procedimientos para encarcelar a personas transgénero y la creación de una unidad de personas transgénero en la cárcel de mujeres en lugar de enviar a estas personas a establecimientos para hombres o mujeres, de acuerdo con su sexo biológico[174].

Los preservativos como prueba de prostitución

En 2010, el Departamento de Policía de Los Ángeles detuvo a 4,775 adultos y 123 menores por delitos relacionados con la prostitución[175]. Es más común que las detenciones se efectúen en el marco de la ley que prohíbe la prostitución (Sección 647(b) del Código Penal) y que dispone que se considera un delito menor “[ofrecer] o … [aceptar] participar en o … participar en cualquier acto de prostitución”. Para poder condenar al involucrado, la ley requiere que se trate de un “acto de favorecimiento” del delito[176]. Existe una ley sobre merodeo que también prohíbe esta conducta cuando se realiza con la intención de ejercer la prostitución. Al igual que la ley de Nueva York, el lenguaje de la ley sobre merodeo de California es amplio y autoriza la detención de personas sobre la base de pruebas circunstanciales que incluyen hacer señas a transeúntes, detener vehículos, estar en un área que se identifica con el ejercicio de la prostitución, y haber tenido cualquiera de estas conductas “o cualquier otro comportamiento que sea un indicio de ejercicio de la prostitución” en los seis meses anteriores a la detención[177].

Además, la ley del estado de California exige que se practiquen pruebas de VIH obligatorias a cualquier persona condenada por prostitución por primera vez y a cualquier persona detenida que tenga una condena previa relacionada con la prostitución[178]. Si una persona vuelve a ser detenida por acusaciones de prostitución tras haber obtenido un resultado positivo en la prueba de VIH, las acusaciones pueden elevarse de un delito menor a un delito grave, lo cual podría acarrear una pena de hasta tres años de prisión[179]. Si bien la imposición de penas más severas por reincidencia no resulta per se problemática, en este caso la ley no requiere actividad sexual; los cargos por delito grave pueden imponerse simplemente si se determina la intención o el acuerdo para cometer un acto de prostitución cuando existió previamente una condena por prostitución y un resultado positivo en la prueba de VIH[180]. No había datos disponibles sobre la cantidad de procesos iniciados en California en virtud de esta norma. En un caso, sin embargo, la acusada fue condenada por un acto de prostitución grave (felony prostitution), y las pruebas en su contra incluyeron una prueba de VIH anterior con resultado positivo y los “preservativos en su bolso”[181].

Según algunos trabajadores sexuales en Los Ángeles, es común que se usen los preservativos como uno de los fundamentos para detener a personas por prostitución.

Kathy B., una mujer transgénero latina de 46 años que trabaja en la tienda de patinetas de su marido, fue trabajadora sexual hasta hace un año, y dijo a Human Rights Watch:

Sí, he tenido incidentes con la policía. El último fue en diciembre de 2010 en un hotel... Revisaron mi bolso. Nunca presté mi consentimiento para ser registrada. Y encontraron preservativos en mi bolso,alrededor de cuatro. Los sacaron, burlándose de mí, y dijeron: ‘mira lo que tenemos aquí’... Me labraron una multa por trabajar como acompañante sin una licencia[182].

Alessa N., una mujer transgénero de México, describió una detención que ocurrió en junio de 2010:

Yo llevaba preservativos. Sacaron los preservativos de mi bolso... tenía seis, y luego los preservativos fueron parte de las pruebas. Terminé en la cárcel[183].

Hubo casos de personas que trabajan en iniciativas de contacto con la comunidad que también fueron acosadas por distribuir preservativos. Bamby Salcedo trabaja en la organización Transgender Service Provider Network (Red de Proveedores de Servicios para Personas Transgénero) en Los Ángeles y desde hace tiempo es una comprometida activista en derechos de las personas transgénero. Salcedo contó a Human Rights Watch que otros colegas que trabajan en contacto con la comunidad habían sido interceptados e interrogados en varias oportunidades por la policía por distribuir preservativos[184].

La regla de los tres preservativos

Existía una creencia generalizada entre los trabajadores sexuales de Los Ángeles de que era ilegal llevar más de tres preservativos.

Violet T., una trabajadora sexual que trabaja puertas adentro, le preguntó a Human Rights Watch:

La regla de los tres preservativos, ¿es una ley del estado?... Realmente, siempre he creído que era verdad. Si hay algo en la ley que respalde esta regla, es una cosa. Pero si nada de esto está escrito en la ley, ¿cómo pueden usar preservativos como prueba contra nosotras?[185].

Jamie G., una trabajadora sexual, dijo:

Todos lo saben... si tienes más de tres preservativos significa que eres una ramera[186].

Muchas personas señalaron que la policía había originado esta creencia generalizada de que existía una “regla de los tres preservativos”.

Lola L., una trabajadora sexual de 53 años de edad que también realiza tareas de contacto con la comunidad en las calles, dijo:

La policía me ha dicho, ‘cuando estás en un área de alto riesgo, no debes llevar más de tres preservativos porque podremos detenerte’. Y yo dije: ‘¿Cómo sé cuál es una zona de alto riesgo?’[187].

Una trabajadora de contacto con la comunidad señaló que, según habían comentado trabajadores sexuales que fueron interceptados por la policía, el límite era de dos preservativos:

Soy una trabajadora de contacto con la comunidad. Cuando salgo a entregar preservativos, hay algunas jóvenes que me dicen: ‘Dame lo suficiente para toda la semana’. Otras dicen que no quieren más de dos, porque si tienen más de dos, pueden ser detenidas por prostitución. Esto es lo que les dice la policía, que si tienen más de dos preservativos en el bolso, pueden acusarlas de prostitución[188].

La policía identifica en forma automática a algunas personas como trabajadores sexuales

Diversas mujeres transgénero contaron a Human Rights Watch que eran continuamente interceptadas y acosadas por policías que presumían que realizaban trabajo sexual, por lo general en los vecindarios donde viven, trabajan o asisten a la escuela. Marsha P. señaló que la policía utilizaba preservativos para fundamentar la presunción de que realizaba trabajo sexual:

Yo trabajo en un restaurante. Y me han interceptado en el camino del trabajo a casa. Me han acusado de ser prostituta porque llevo dos preservativos en el bolsillo. Y eso no es un delito[189].

Bamby Salcedo de Transgender Service Provider Network describió esta asociación automática efectuada por policías como un problema serio y constante:

Hemos organizado manifestaciones frente al departamento de policía para protestar por el acoso continuo contra la comunidad, ya que algunos de sus miembros viven en áreas que podrían ser de ‘alto riesgo’ o ‘zonas calientes’, pero tienen que ir igualmente a la tienda, tienen que tomar un autobús, y por algo tan simple como estar caminando los interceptan y los hostigan y, a veces, los detienen sólo por el lugar donde están o por quiénes son[190].

Shayla Myers es abogada de planta en LGBT Access to Justice Project (Proyecto de Acceso a la Justicia para grupos LGBT) en Los Ángeles. Myers ha representado a mujeres transgénero de bajos ingresos durante dos años y medio, principalmente en un proyecto que busca que se eliminen los antecedentes penales para que las personas LGBT puedan tener mayores oportunidades laborales. Myers señaló que los preservativos facilitan la detención de mujeres transgénero por prostitución en virtud de la ley sobre merodeo:

Ser trans, estar caminando y llevar preservativos: eso es suficiente para establecer una presunción fundada que justifique la detención... La policía debe abstenerse de clasificar automáticamente a las personas y sacar conclusiones. Tengo clientes con 12, 13 condenas... He escuchado a personas que dicen que tienen miedo de llevar preservativos o que no aceptan preservativos[191].

Consecuencias para la inmigración de las detenciones por prostitución

En el caso de los trabajadores sexuales indocumentados, las leyes de inmigración que penalizan la prostitución establecen la expulsión y otras graves consecuencias. Joseph Weiner, abogado de planta en el Immigrant’s Rights Project (Proyecto de Derechos de los Inmigrantes) del Public Counsel Law Center de Los Ángeles, ha tenido numerosos clientes transgénero que fueron expulsados de Estados Unidos a raíz de condenas por prostitución. Asimismo, algunos de sus clientes transgénero que han obtenido un beneficio como asilo o han evitado ser deportados, han perdido su condición migratoria a causa de una condena por ejercicio de la prostitución tras ser diagnosticados como VIH positivos[192].

Como se observó en el informe de Bienestar, muchos incidentes de abuso y conducta indebida por parte de policías no se denuncian por temor a mayores maltratos o a la deportación. Elaine A. explicó lo siguiente:

Nunca presenté una denuncia contra [un policía] porque tenía miedo, tenía temor de ser deportada. Muchas de las chicas no tienen papeles[193].

Temor a llevar preservativos como consecuencia de la acción policial

Muchos trabajadores sexuales informaron que seguían llevando preservativos pese al temor a ser detenidos. Marsha P. declaró:

¿Que si alguna vez tuve miedo de llevar preservativos? No, porque conozco mis derechos en este país. El simple hecho de que la policía no esté instruida no me atemoriza. Siempre llevo preservativos en mi bolso... Tengo más miedo a enfermarme que a la policía[194].

Para muchos otros, el temor a ser detenidos, encarcelados y condenados por prostitución prevalecía, incluso, por sobre la necesidad de proteger su salud. Kathy B. declaró:

Cuando era trabajadora sexual, hubo una época en que no llevaba preservativos porque si la policía los encontraba, podían usarlos como prueba en mi contra. Antes, cuando aún era trabajadora sexual, tenía miedo de llevar preservativos[195].

Iris L., una mujer de 47 años originaria de México, señaló:

Solamente llevo uno o dos preservativos conmigo. Tengo miedo de llevar preservativos[196].

Carol F., de 28 años, es una mujer transgénero originaria de Guatemala que se dedica al trabajo sexual. Fue detenida por prostitución por primera vez cuando tenía 13 años, en un incidente en el cual la policía de Los Ángeles usó preservativos como prueba en su contra. Luego de esta experiencia traumática, tenía miedo de llevar preservativos:

Después de la detención, siempre tuve miedo. Siempre encontraba un lugar donde esconder los preservativos. Y dejé de llevar tres. Comencé a llevar uno o dos... y luego había noches en que sí tenía que trabajar y no tenía preservativos conmigo. Hubo momentos en que no tenía un preservativo cuando lo necesitaba, y entonces utilizaba una bolsa de plástico[197].

Varios trabajadores sexuales contaron a Human Rights Watch que el temor a ser detenidos por cuestiones migratorias hacía que prefirieran no llevar preservativos. Serena L., una ex trabajadora sexual que ahora está estudiando, dijo:

En el informe sobre mi detención decía ‘preservativos en el bolso’. No llevo preservativos desde que me pasó esto... si tengo preservativos, los guardo en una bolsa distinta. No los llevo en mi bolso. Especialmente ahora que estoy tratando de regularizar mi condición [migratoria][198].

Abuso, hostigamiento y conductas indebidas por parte de policías

Los trabajadores sexuales informaron haber sufrido abuso verbal y físico por parte de policías, que en ocasiones no cumplían con su deber. Esto se observaba especialmente en el caso de trabajadores sexuales transgénero.

Kathy B. dijo a Human Rights Watch acerca de cuando fue detenida por dos policías en un hotel:

Llevaba puesta una chaqueta y una blusa. Y me abrieron la blusa y comenzaron a tomarme fotografías. El agente violó mi privacidad. Pero el oficial principal me dijo: ‘Cállate si no quieres ir a la cárcel’. Le dije: ‘Conozco mis derechos. No es necesario que tome fotos así’. Entonces, me cerró la blusa y continuó tomando fotografías[199].

Bamby Salcedo de Transgender Service Provider Network describió varios incidentes en que sus clientes fueron maltratados por miembros del Departamento de Policía de Los Ángeles. Contó que unas semanas antes de que Human Rights Watch la entrevistara en marzo de 2012, había atendido a una mujer que había sido detenida y contra quien se habían usado preservativos como prueba de prostitución.

[Hace algunas semanas], de hecho, fue detenida porque estaba en una determinada esquina y llevaba preservativos... [pero] el problema tiene más que ver con cómo la trataron... Los policías que la detuvieron la llamaban ‘señor’... El modo en que en general la policía les habla a las personas trans es una falta de respeto [200] .

Salcedo explicó que ayudó a esta mujer a presentar una denuncia, pero que las víctimas suelen mostrarse reticentes a hacerlo:

Las ayudamos, a veces las acompañamos a los tribunales. Pero muchas veces no quieren hacerlo por temor a represalias. Porque esos mismos policías son los que salen a patrullar, y las muchachas no quieren continuar enfrentándose a eso [201] .

Carol F. contó a Human Rights Watch que había sido agredida sexualmente por un miembro de su iglesia. Aunque denunció la agresión a la policía, el caso no fue investigado. Carol relató:

El policía dijo: ‘Tengo algunas sospechas porque usted tiene antecedentes de prostitución’.... Le dije: ‘¿Quiere decir que no puedo ser agredida sexualmente porque fui detenida cuando tenía 13 años?’ [202] .

Brenda del Río González, una capacitadora en temas de salud y trabajadora de contacto con la comunidad de Bienestar, ayuda a trabajadoras sexuales transgénero latinas en Los Ángeles. Brenda comentó que cuando estas mujeres son víctimas de delitos, no se atreven a denunciar lo sucedido por temor a sufrir maltratos y a ser deportadas. Una mujer le contó a Brenda:

No confío en la policía. Porque cuando intentas denunciar un delito que has sufrido, se burlan y te insultan. ... Dicen: ‘Eres una ramera ¿Tienes pene? ¿Tienes verga? ¿Tienes documentos?’ [203] .

Respuesta de los funcionarios públicos de Los Ángeles

El Departamento de Policía de Los Ángeles (Los Angeles Police Department, LAPD) dijo a Human Rights Watch que mantienen acciones enérgicas contra la prostitución, en gran medida en respuesta a quejas de ciudadanos sobre conductas que se producen en sus vecindarios. El teniente Patrick Shields, a cargo de la Sección Especial de Aplicación de la Ley (Special Enforcement Section), señaló que los preservativos son útiles para probar actos que favorecen la comisión de delitos en virtud del artículo 647(b) y para sustanciar acusaciones en el marco de la ley sobre merodeo. Manifestó su preocupación por los problemas de salud pública generados por esta práctica y señaló que el departamento no tenía intención de desalentar a las personas para que no lleven preservativos. El teniente Shields negó que hubiera una “regla” de dos o tres preservativos que orientara la práctica oficial. Sin embargo, Shields defendió la búsqueda de preservativos cuando se intercepta y palpa a personas sospechadas de prostitución, y declaró que “el ciudadano promedio no anda caminando con preservativos en el bolsillo”[204].

Con respecto a las denuncias sobre la identificación automática de las personas transgénero en función de criterio selectivos y la interacción con ellas, el teniente Shields declaró en una respuesta por escrito que el Departamento de Policía de Los Ángeles “asume un papel activo y trabaja continuamente con la comunidad y las personas que pueden cambiar su identidad de género, su expresión de género y/o su orientación sexual” [205] . Shields indicó que en la Academia de Policía se dicta una clase destinada a concienciar a los oficiales sobre los problemas que enfrentan las personas transgénero, y que existe dentro del departamento una persona de enlace con esa comunidad, y manifestó que el LAPD adopta una “firme postura contra la discriminación” [206] .

La Fiscalía de la Ciudad de Los Ángeles (Office of the City Attorney of Los Angeles) indicó que no deseaban desalentar a las personas a llevar preservativos, pero que no habían visto pruebas de que esto estuviera ocurriendo entre las personas detenidas por trabajo sexual. Según Mary Claire Molidor, subjefa de la División de Vecindarios Seguros y Pandillas, es “raro” que las personas detenidas por prostitución no tengan preservativos en su poder[207]. La subjefa Molidor manifestó que los preservativos “no son un elemento central” que tengan en cuenta al formular cargos por prostitución, pero suelen catalogarse como prueba y en un eventual juicio se presentarían para sustanciar estas acusaciones con valor probatorio. Según Molidor, los preservativos tendrían valor probatorio especialmente en casos en que la persona tuviera una gran cantidad de preservativos en su poder o en un establecimiento comercial como una sala de masajes[208].

El Departamento de Salud Pública del Condado de Los Ángeles se negó a hacer comentarios e indicó que el LADPH “no hace comentarios sobre actividades o políticas del Departamento de Policía de Los Ángeles”[209].

San Francisco

VIH en San Francisco

San Francisco ha desempeñado un rol único y significativo en muchos aspectos de la historia de la epidemia de VIH. La ciudad informó sus primeros diagnósticos de sida en 1981, y estos casos actualmente se reconocen como los primeros incidentes de VIH que se informaron en Estados Unidos[210]. Su tradición de activismo gay, que incluyó la elección en 1977 del primer funcionario municipal abiertamente homosexual del país, Harvey Milk, sentó las bases que permitieron una contundente respuesta cívica al VIH en la década siguiente. La Fundación del Sarcoma de Kaposi (Kaposi Sarcoma Foundation), creada en 1983, fue una de las primeras organizaciones de base que se formó en respuesta al VIH. Una vigilia con velas que tuvo lugar en San Francisco en octubre de 1983 fue el primer encuentro público de personas que vivían con VIH[211].

Antes de la llegada del tratamiento antirretroviral combinado a mediados de los años noventa, San Francisco estaba devastada por la enfermedad. Cerca de 20,000 personas, en su mayoría hombres gay, han muerto de sida desde el comienzo de la epidemia, lo cual representa aproximadamente 1 de cada 40 residentes de la ciudad[212]. La epidemia en San Francisco se ha estabilizado, y se ha registrado una leve reducción en la cantidad total de nuevas infecciones en 2009[213]. En enero de 2011 había 18,576 personas que vivían con VIH en San Francisco, es decir, el 2.3 por ciento de la población. En San Francisco, las tasas de VIH permanecen concentradas en hombres que mantienen relaciones sexuales con hombres, usuarios de drogas inyectables y hombres que se encuadran en ambas categorías. En 2010, el tres por ciento de las personas que vivían con VIH en San Francisco eran heterosexuales, y el dos por ciento eran personas transgénero[214].

Las disparidades raciales en relación con el VIH son menos evidentes en San Francisco que en Estados Unidos en general. En San Francisco, la mayoría (63 por ciento) de las personas que viven con VIH son caucásicas, y el 16 por ciento son afroamericanas[215]. Estas cifras, no obstante, muestran igualmente el impacto desproporcionado del VIH en la comunidad afroamericana, dado que este segmento representa solamente el 6 por ciento de la población de San Francisco[216]. Los latinos representan el 15 por ciento de la población, y el 14 por ciento de las personas que viven con VIH[217].

Si bien, en general, se ha disminuido la cantidad de nuevas infecciones en San Francisco, según el Departamento de Salud Pública de San Francisco “la epidemia se expande más rápido entre las mujeres transgénero”, y el índice de nuevas infecciones es del 2.5 por ciento[218]. En general, se estima que más de una de cada tres mujeres transgénero en San Francisco estaría infectada con VIH. El Departamento de Salud Pública de San Francisco llevó a cabo un estudio específico en 2010 para determinar la prevalencia del VIH entre mujeres transgénero y comprobó que el 40 por ciento de las participantes eran VIH positivas. En comparación con todos los casos de VIH diagnosticados durante el mismo período, las mujeres transgénero con VIH tendían a ser mujeres no caucásicas (el 71 por ciento eran afroamericanas) con mayor nivel de uso de drogas inyectables. Solamente una de cada cinco mujeres transgénero con VIH que participaron en el estudio tenía ingresos superiores a US$ 21,000 por año[219].

Prohibición del uso de preservativos como prueba de prostitución en 1994

Desde los primeros años de la epidemia, la estrategia de San Francisco para la prevención del VIH se ha distinguido por la movilización de una comunidad proactiva de personas que viven con VIH, que a su vez trabaja en colaboración con el Departamento de Salud Pública y otros organismos de la ciudad. Este enfoque de colaboración llegó a conocerse como el “Modelo San Francisco”, que hace hincapié en una comunicación positiva y sin prejuicios sobre el sexo y la reducción del daño, en vez de intentar erradicar las prácticas riesgosas. En particular, el cambio estructural siempre ha sido un componente importante de este enfoque. Un ejemplo de ello es la participación constante en la lucha contra el sida que tuvieron desde el principio el alcalde, la Junta de Supervisores y otras instituciones de la ciudad[220].

En este clima de activismo y tolerancia sexual, Margo St. James y otros defensores de trabajadores sexuales abordaron por primera vez el tema del uso de preservativos como prueba de prostitución a fines de los años ochenta. La organización Call Off Your Tired Old Ethics (COYOTE), fundada por St. James, impulsó en ese período una campaña a favor de una mayor educación de los trabajadores sexuales y sus clientes acerca del desarrollo de la epidemia del sida y luchó para evitar que los trabajadores sexuales fueran culpados arbitrariamente por la propagación de la enfermedad. En 1993, St. James y otros defensores ejercieron presión para que se creara un Grupo de Trabajo sobre Prostitución en la Junta de Supervisores de San Francisco con el fin de “distinguir los hechos de las falacias” vinculadas con la prostitución y “recomendar reformas sociales y legales para responder de manera más adecuada a las necesidades de la ciudad y, a la vez, emplear los recursos de esta de manera más eficiente”[221].

Al igual que en la actualidad, la Sección 647(b) del Código Penal de California consideraba un delito menor “…[ofrecer] o….[aceptar] participar en... o participar en cualquier acto de prostitución”. Para condenar a una persona, la ley requería que se tratara de un “acto de favorecimiento” del delito[222]. Era para probar dicho “acto de favorecimiento” que la policía y los fiscales utilizaban preservativos como prueba. En mayo de 1994, en respuesta a una propuesta presentada por el Grupo de Trabajo, la Junta de Supervisores emitió una resolución no vinculante en la cual se instaba al Departamento de Policía y al Fiscal de Distrito de San Francisco a “dejar de confiscar o usar la posesión de preservativos con fines de investigación o como prueba judicial en delitos relacionados con la prostitución”[223]. Entre los fundamentos citados en respaldo de la resolución, se incluyó la conclusión de que usar preservativos como prueba desalienta el uso de estos y frustra las políticas públicas de la ciudad de prevención del VIH. La resolución también determinó que la utilidad de los preservativos para asegurar la aplicación de la ley era superada por la importancia que tenían los preservativos para la prevención del VIH. La resolución hizo mención a que el Fiscal de Distrito también había hecho una excepción similar en el caso de los programas de sustitución de jeringas, por motivos de salud pública[224]. Ver el Apéndice C para consultar el texto completo de la resolución.

El Fiscal de Distrito Arlo Smith respondió a la resolución comprometiéndose a suspender el uso de preservativos como evidencia durante un período de prueba, y destacó en una carta dirigida al Director de Salud Pública que “en algunos de los casos en que trabajamos actualmente se necesitan los preservativos como elemento para probar el ‘acto de favorecimiento’ que sirve de fundamento a la causa. Trabajaremos con el Departamento de Policía para desarrollar otras pruebas que demuestren el ‘acto de favorecimiento’”. La carta de Smith señalaba como conclusión: “Con esta nueva política, intentamos encontrar un equilibrio entre la seguridad pública y la salud pública”[225]. El informe final del Grupo de Trabajo observa que, en marzo de 1995, la fiscalía a cargo de Smith anunció que dejarían de usar en forma permanente los preservativos como prueba de prostitución, pero que no había ninguna otra información disponible respecto de la implementación de esta política por el Fiscal de Distrito[226].

Acciones contra la prostitución en San Francisco

Además de la sección 647(b) del Código Penal de California (California Penal Code), la legislación de ese estado prohíbe el “merodeo en cualquier espacio público con la intención de ejercer la prostitución”[227]. Otros delitos relacionados con la prostitución en California incluyen el proxenetismo, persuadir a personas de que asistan a un prostíbulo e infracciones de las reglamentaciones comerciales[228]. A la mayoría de las personas detenidas por prostitución en San Francisco —tanto presuntos proveedores como clientes— se les ofrece participar en programas de “recuperación”[229]. Si bien estos programas pueden ofrecer alternativas al encarcelamiento, la detención tiene de todos modos consecuencias negativas, en particular en el caso de inmigrantes, para quienes la detención puede dar lugar a la expulsión, la declaración de inadmisibilidad o la detención obligatoria[230].

Según el Departamento de Policía de San Francisco (San Francisco Police Department, SFPD), las detenciones por prostitución no son una cuestión prioritaria para el Departamento: “Como ciudad, somos bastante abiertos en lo que respecta a la moral, y no recibimos demasiadas denuncias por prostitución. No tenemos muchas ‘pistas’ respecto de dónde se ejerce la prostitución”, comentó el teniente Jason Fox, supervisor de la Unidad de Víctimas Especiales del SFPD[231]. No obstante, en San Francisco sí se aplican medidas contra la prostitución. No hay información completa sobre detenciones por prostitución efectuadas en San Francisco, ya que el Departamento de Policía de San Francisco no mantiene registros centralizados ni completos sobre este delito[232]. Sin embargo, desde mayo hasta agosto de 2011, 168 personas fueron detenidas por prostitución en virtud de la sección 647(b) del Código Penal, o por merodeo con la intención de ejercer la prostitución en virtud de la sección 653.22 del Código Penal[233]. Estas detenciones contaron con el apoyo de un subsidio federal de incentivo destinado a combatir el tráfico de sexo. El lenguaje amplio del subsidio fomentaba las detenciones por prostitución en las calles a fin de “reducir la demanda de trata de personas en el área de la Bahía de San Francisco”[234].

Los preservativos como prueba de prostitución

Pese a la resolución de 1994 de la Junta de Supervisores, en San Francisco los preservativos se usan como prueba para sustanciar detenciones por prostitución. Si bien esta práctica no es generalizada, ocurre con regularidad. Naomi Akers es la directora ejecutiva de St. James Infirmary, el primer y, hasta ahora, único centro de salud ocupacional que ofrece servicios sociales y de atención de la salud a trabajadores sexuales en San Francisco. Akers manifestó lo siguiente:

Gran parte del trabajo sexual en San Francisco se ha trasladado a lugares cerrados o través del Internet. En comparación con otras ciudades, no tenemos un problema grave de uso de preservativos como prueba de prostitución por parte de la policía, pero esta situación se ha estado expandiendo desde el año 2005, aproximadamente. Como resultado de esto, los trabajadores sexuales se muestran más reticentes a llevar más de unos pocos preservativos por vez[235].

A veces, la policía toma fotografías de los preservativos cuando una persona es interceptada o detenida. Cyd Nova, consejero inter pares de trabajadores sexuales en St. James Infirmary, declaró:

He sido consejero inter pares de trabajadores sexuales durante tres años, y en ese tiempo muchos de ellos me han contado que han sido acosados por tener preservativos y les han tomado fotografías de los preservativos para poder detenerlos... Hace ocho meses, estaba en el [distrito de] Tenderloin con una mujer que fue interceptada por presunción de trabajo sexual. La revisaron y la policía fotografió sus preservativos, yo mismo lo vi. Finalmente, no la detuvieron[236].

El teniente Fox señaló que el Departamento de Policía de San Francisco “en ocasiones” fotografía preservativos como parte del procedimiento de detención por prostitución[237]. “Las fotografías de preservativos ayudan a establecer el ‘acto de favorecimiento’ o la ‘intención’ del delito, pero no queremos confiscarlos porque somos conscientes de las cuestiones de salud pública, por eso los fotografiamos”, contó Fox a Human Rights Watch[238].

Sin embargo, abogados de la Oficina de Defensores Públicos (Public Defender Office) de la ciudad dijeron a Human Rights Watch que el uso de preservativos en casos de prostitución era más que “ocasional”, ya que la oficina había defendido al menos ocho casos en que se habían usado preservativos como prueba de prostitución en el último año[239]. En el Apéndice D se proporcionan copias de documentos presentados en dos casos que se habían usado preservativos (incluidas fotografías de estos) como prueba.

Entre la comunidad transgénero, las versiones sobre el uso de preservativos como prueba son contradictorias. Jessi Ross, coordinadora de contacto con la comunidad de St. James Infirmary, declaró que trabajadores sexuales transgénero en el área de Polk Street se habían negado a aceptar más de unos pocos preservativos porque, según le dijeron, tenían miedo al acoso policial[240]. Sin embargo, otras personas dijeron que no había un problema de acoso o detención por llevar preservativos. Maryanne P., una trabajadora sexual que realiza tareas de prevención del VIH dirigidas a trabajadores sexuales transgénero, declaró:

La policía hostiga a las personas transgénero que están en zonas de prostitución, pero los preservativos no tienen nada que ver. Las hostigan de todas maneras y las hacen circular, tengan o no preservativos[241].

Durante diversas entrevistas efectuadas por Human Rights Watch en un grupo de apoyo para personas transgénero, un centro de defensoría de personas transgénero y un centro de salud para jóvenes LGBT, no se recibieron denuncias de acoso policial o detención por tenencia de preservativos[242].

En San Francisco, algunos policías fotografían los preservativos para evitar destruirlos o confiscarlos por razones de salud pública. Sin embargo, las fotografías se usan igualmente como prueba, y esto puede tener el mismo efecto disuasivo para el uso de preservativos. El consejero inter pares Cyd Nova explicó lo siguiente:

Al perseguir a personas porque llevan preservativos, al fotografiar preservativos, se termina corriendo la voz. Basta que haya unos pocos incidentes para que las personas sientan miedo de llevar preservativos... Tengo una clienta ahora que directamente no lleva preservativos por temor a la actividad policial. Hemos estado trabajando de varias maneras para ayudarla a superar el temor, por ejemplo, indicándole cómo ocultarlos y cosas por el estilo, pero hasta el momento no lleva ninguno cuando trabaja[243].

Acciones contra establecimientos comerciales

Human Rights Watch advirtió que en San Francisco era habitual que policías dirigieran sus acciones contra la prostitución a establecimientos comerciales como clubes de baile erótico, salas de masajes y un club nocturno de personas transgénero. En algunos casos, esto interfería con su voluntad de tener preservativos a disposición en las instalaciones.

Existen leyes del estado que regulan y prohíben la prostitución en ámbitos comerciales, incluida la ley que se conoce como Red Light Abatement Law (Ley de Reducción de Zonas Rojas) —que considera una alteración del orden público cualquier establecimiento donde se ejerza la prostitución—[244], así como mantener un establecimiento de actividades ilícitas, que incluye la prostitución[245], y operar un “burdel” o residir en él[246].

La sección 24200 del Código de Comercios y Profesiones (Business and Professions Code) reglamenta los permisos para vender alcohol en California. Esta ley identifica específicamente a la prostitución como un motivo para revocar el permiso de expendio de bebidas alcohólicas, puesto que todas las definiciones de actividades “contrarias al bienestar público y la moral”, “cualquier infracción pública moralmente objetable” y permitir una “condición objetable en las… instalaciones” incluyen a la prostitución[247]. El Departamento para el Control de Bebidas Alcohólicas (Alcohol and Beverage Control, ABC) aplica facultades policiales independientes conferidas por la Constitución de California, que otorgan al ABC la potestad exclusiva de hacer cumplir estas disposiciones y decidir casos de revocación de permisos[248]. Los tribunales de California han otorgado al ABC “amplia discreción para revocar o suspender los permisos de expendio de bebidas alcohólicas ‘por motivos justificados’ cuando la continuación del permiso resulte contraria al bienestar público o la moral”[249]. El ABC puede efectuar detenciones por prostitución en establecimientos comerciales, y luego suspender o revocar el permiso del establecimiento sobre la base de tales detenciones. Desde hace tiempo, el ABC emplea agentes encubiertos que actúan como señuelo para aplicar las disposiciones contra la prostitución, y esta práctica ha sido sistemáticamente avalada por la justicia[250]. A su vez, la legislación de California regula rigurosamente los establecimientos donde se realizan bailes con el cuerpo parcial o totalmente desnudo, independientemente de si se sirven bebidas alcohólicas[251]. Es común que se utilicen agentes encubiertos en los operativos destinados a aplicar estas reglamentaciones[252].

En 2005, 11 clubes de baile erótico de San Francisco fueron objeto de una demanda federal por presunta violación de las leyes contra la prostitución. Seis bailarinas en forma individual y un club de baile erótico en San Francisco demandaron ante el Tribunal de Distrito de los Estados Unidos en San Francisco a una compañía que, en ese momento, era propietaria de varios clubes de este tipo en la ciudad, por numerosas infracciones de la legislación laboral y ocupacional[253]. En la demanda se alegó, entre otras cosas, que diversos clubes que pertenecían a esta compañía incurrían en prácticas laborales y de competencia desleales al permitir, y en algunos casos alentar, la prostitución en los clubes de los cuales era propietaria y que administraba en San Francisco. Las bailarinas alegaron que en los clubes se alentaba la prostitución, mientras que el club de la competencia aseveraba que por cumplir con las leyes estatales contra la prostitución veía perjudicada su posibilidad de competir en la ciudad[254].

Los documentos presentados en este juicio contenían numerosas referencias al uso de preservativos como prueba de prostitución. La demanda hacía referencia a informes de agentes encubiertos del Departamento de Policía de San Francisco y declaraciones juradas presentadas por accionantes particulares donde se describía su experiencia de trabajo en los clubes. Estos documentos contenían 16 referencias a preservativos y revelaban la existencia de un patrón de uso de preservativos como prueba por parte del Departamento de Policía de San Francisco para sustentar acusaciones de prostitución en clubes de toda la ciudad[255]. Según Naomi Akers, directora ejecutiva de St. James Infirmary, los trabajadores de contacto de este centro han advertido que ciertos clubes de baile erótico, incluidos algunos que pertenecen a esta compañía, se muestran renuentes, y en ocasiones directamente no están dispuestos, a aceptar que se entreguen preservativos a las mujeres que trabajan en el club. En diciembre de 2008 y febrero de 2009, varios trabajadores de contacto de St. James informaron estos incidentes a Akers por escrito:

Los encargados de seguridad no quisieron recibir la bolsa que había llevado el centro porque contenía preservativos, y expresaron su preocupación de que nosotros, como trabajadores de contacto con la comunidad, estuviéramos consintiendo la prostitución en el club... Aparentemente el propietario... había dado instrucciones a muchos [de sus] clubes de que prohibieran el ingreso de trabajadores de contacto con la comunidad[256].

Jessi Ross, coordinadora de contacto con la comunidad de St James Infirmary, señaló que algunos de los clubes de baile erótico continúan negándose a aceptar preservativos.

En el último año, nuestra labor se ha concentrado principalmente en los establecimientos comerciales. Entramos con bolsas que contienen materiales sobre sexo seguro e incluyen preservativos e información sobre servicios que ofrece el centro y otras cosas... Algunos establecimientos no nos dejan entrar, o bien no aceptan preservativos por temor a la policía. Hay clubes de striptease donde debemos sacar los preservativos de la bolsa para que nos permitan entrar y entregarles las bolsas a las jóvenes que trabajan allí[257].

Renee K., una bailarina erótica que trabaja en uno de los clubes que fueron demandados, dijo a Human Rights Watch lo siguiente:

Si bien se supone que no debería ocurrir, las personas mantienen relaciones sexuales en ciertos clubes de la ciudad, en algunos más que en otros. Los clubes que sirven bebidas alcohólicas son más estrictos y no permiten que las muchachas realicen trabajo sexual en el lugar, y no quieren que haya preservativos ya que esto transmitiría un mensaje contradictorio. Se supone que no deberías estar haciendo eso; entonces, ¿por qué tener preservativos?[258].

En 2005, otro establecimiento comercial de San Francisco fue objeto de acciones contra la prostitución en las cuales se usaron preservativos como prueba. El Departamento para el Control de Bebidas Alcohólicas de California (California Department of Alcoholic Beverage Control) realizó numerosos operativos encubiertos en Diva’s, un club nocturno que recibía a clientela transgénero, y efectuó varias detenciones por prostitución. Estas detenciones fueron luego usadas como fundamento para suspender el permiso de expendio de bebidas alcohólicas del club, argumentando que los cantineros no habían actuado para evitar que se ejerciera la prostitución en el establecimiento. El propietario apeló la decisión y el permiso fue restablecido en forma condicional, pero el dictamen de la Junta de Apelaciones del ABC (ABC Appeals Board) contiene varias referencias a los preservativos como prueba de la complicidad del bar para permitir la prostitución[259].

Alexis Miranda, gerenta y directora del espectáculo del club nocturno Diva’s, describió su respuesta a los cargos formulados por el ABC:

Somos el único club nocturno específico para personas transgénero de California. Ellos [los trabajadores de ABC] nos han tenido en la mira muchas veces en el pasado. Cuando suspendieron nuestro permiso, tuve que ir y decir: ‘¿Por qué todos los bares para gais y todos los bares para heterosexuales pueden distribuir preservativos y nosotros no? ¿Por qué las personas transgénero promovemos la prostitución cuando usamos un preservativo?’. Eso le pregunté al juez[260].

Miranda señaló que, últimamente, el ABC no ha molestado a Diva’s e insistió en que los procedimientos no consiguieron disuadir a Diva’s de ofrecer preservativos en el establecimiento: “No es ilegal distribuir preservativos, y no hemos permitido que esto cambie nuestra postura”[261].

Sin embargo, según algunos trabajadores de contacto de St James Infirmary, el club Diva’s no siempre se mostraba igualmente dispuesto a recibir preservativos[262]. Además, una clienta dijo a Human Rights Watch:

Antes solía haber preservativos en Diva’s, pero últimamente ya no, ni en el bar ni en los mostradores. Escuché que han tenido inconvenientes con la policía, no estoy segura por qué[263].

Las salas de masajes también han sido objeto de acciones de orden público en las cuales se usaron preservativos como prueba. En San Francisco, el Código Municipal de Salud (Municipal Health Code) establece ciertos requisitos para obtener permisos de habilitación de salas de masajes, incluida la certificación de los masajistas, horarios de atención e instalaciones sanitarias obligatorias. Si bien la responsabilidad primaria de reglamentar la actividad vinculada con masajes corresponde al Departamento de Salud Pública, la sección 1929 del Código establece que el director deberá trabajar con el jefe de policía en “temas de interés común que afecten al sector de servicios de masajes, como la trata de personas”[264].

La ley sobre trata de personas de California prohíbe el confinamiento forzado o la violación de la libertad personal de otra persona con fines de trabajo forzado, servicios sexuales u otra contraprestación[265]. En julio de 2005, 45 miembros de una red de contrabando y trata de personas que presuntamente operaba a través de salas de masajes en San Francisco y Los Ángeles fueron detenidos por agentes federales y estatales. Este operativo, denominado “Operativo Jaula Dorada” (Operation Gilded Cage), confiscó fondos ilegales por US$ 3 millones y clausuró más de 100 casas de masajes coreanas en las dos ciudades[266]. Tras el Operativo Jaula Dorada, el alcalde de San Francisco, Gavin Newsom, adoptó la lucha contra las salas de masaje por delitos de tráfico de sexo como una característica distintiva de su gestión. El alcalde Newsom creó un Grupo de Trabajo para la Inspección de Salas de Masajes en 2005, que procuró reunir a los distintos organismos de la ciudad, incluido el Departamento de Salud, en una iniciativa común destinada a identificar el tráfico de sexo en los establecimientos de masajes de la ciudad. Según el Informe de 2009 presentado por el alcalde a la Junta de Supervisores, su gestión implementó varias medidas tendientes a “eliminar el tráfico de sexo en San Francisco”, incluido un grupo de trabajo municipal conjunto que efectuó inspecciones mensuales en salas de masajes, lo cual tuvo como resultado el cierre de 36 establecimientos de masajes entre 2006 y 2009. Durante la gestión del alcalde Newsom, la ciudad también estableció sanciones civiles y multas más rigurosas para infracciones a los códigos de salud pública e intensificó la aplicación de la Ley de Reducción de Zonas Rojas (Red Light Abatement Law) para desalojar las salas de masajes[267].

Si bien en 2010 se habían clausurado ya 70 salas de masajes en San Francisco, el alcalde Newsom expresó su frustración por no haber conseguido un impacto en la actividad ilegal:

Se parece un poco a jugar a ‘pégale al topo’: tan pronto cierras dos o tres establecimientos aquí, abren otro sitio con otro nombre[268].

Según versiones de la prensa, el Grupo de Trabajo para la Inspección de Salas de Masajes recurrió al uso de preservativos como prueba:

Según dijeron las autoridades, las tres salas inspeccionadas el miércoles tenían camas matrimoniales o camas gemelas. Los inspectores dijeron que habían encontrado un preservativo usado debajo de una cama en una de las salas. ‘No es habitual encontrar camas revueltas y preservativos en una verdadera casa de masajes’, dijo Lane Kasselman, un analista de políticas de Newsom que participó en la inspección[269].

Naomi Akers recordó que un representante del Grupo de Trabajo para la Inspección de Salas de Masajes ofreció a St James Infirmary una presentación de su actividad:

Hace algunos años, un policía del Grupo de Trabajo nos mostró una presentación de diapositivas sobre las inspecciones que efectuaban en las salas de masajes, a las cuales se refirió como ‘requisas’. En una diapositiva se veía la fotografía de un envase de blanqueador que los dueños habían escondido debajo de una mesa. Dicho envase estaba lleno de preservativos cerrados, y el policía señaló que eso era prueba de actividad ilegal[270].

El Departamento de Policía de San Francisco continúa acompañando a los empleados de la Unidad de Salud Ambiental del Departamento de Salud durante las inspecciones que se efectúan sin previo aviso en las salas de masajes. El Departamento de Policía de San Francisco indicó que las detenciones por prostitución han dejado de ser un procedimiento de rutina, y que la finalidad principal de las inspecciones actuales no es buscar preservativos, sino que señaló que tenían fines “educativos y de salud” y que buscaban identificar infracciones al código de salud e informar a posibles víctimas de trata sobre sus derechos y los servicios disponibles[271]. Según el teniente Jason Fox del Departamento de Policía de San Francisco, que participa junto con el departamento de salud en estas inspecciones:

Nuestro trabajo sobre trata de personas pone un fuerte interés en la víctima. No vamos a las salas de masajes para perseguir la prostitución. Queremos que mujeres que podrían ser víctimas de trata sepan que pueden denunciar su situación[272].

No obstante, el legado que ha dejado el accionar del Grupo de Trabajo para la Inspección de Salas de Masajes es un temor a las fuerzas del orden por parte de propietarios de salas de masajes, que hace que muchos no estén dispuestos a tener preservativos en sus instalaciones. Un estudio efectuado en 2003 sobre riesgo de VIH en mujeres que trabajan en salas de masajes de propietarios asiáticos en San Francisco comprobó que las mujeres mantenían relaciones sexuales a cambio de dinero en estos establecimientos, pero que los propietarios siempre tenían preservativos en el lugar[273]. Esto ya no es así. Propietarios y empleados de salas de masajes se negaron a hablar con Human Rights Watch, pero algunos trabajadores de contacto con la comunidad que habitualmente se comunican con estas personas dijeron a Human Rights Watch que estos propietarios tenían miedo de aceptar preservativos debido a las requisas [274] .

El Dr. Jeffrey Klausner, funcionario de salud adjunto de la ciudad de San Francisco en el período 1998-2010, describió su experiencia de trabajo con propietarios de salas de masajes:

Durante la campaña del alcalde Newsom contra la trata, el accionar en las salas de masajes aumentó y pasó a ser de conocimiento público, ya que el alcalde participaba junto con los medios de comunicación en las requisas, y todo eso. Hablé con muchos propietarios de salas de masajes que me dijeron que tenían miedo de tener preservativos en su establecimiento debido a las inspecciones de las autoridades de salud ambiental, y que por eso escondían los preservativos. Sabemos que en algunos de estos lugares se mantienen relaciones sexuales; por eso, debemos adoptar prácticas para reducir los daños. Desde una perspectiva de salud pública, el temor al uso de preservativos no es precisamente lo que queremos[275].

Respuesta de funcionarios públicos de San Francisco

Marshall Khine, fiscal de distrito adjunto a cargo de la unidad de delitos sexuales, dijo a Human Rights Watch que no estaba al tanto del acuerdo de 1994 por el cual se dispuso que no se utilizarían preservativos como prueba. Según Khine, el acuerdo, “no se ha transmitido a las siguientes generaciones” de fiscales de distrito[276]. Khine señaló que impulsa cerca de 20 casos de proxenetismo y trata de personas por año, y afirmó que “podía tener dos casos” en los cuales la policía había recogido preservativos en el lugar del hecho. En estos casos, los preservativos no suelen usarse como prueba principal sino accesoria. Khine dijo a Human Rights Watch que entiende el problema que el uso de preservativos como prueba de prostitución supone para la salud pública, pero que “tendría que pensar” si la Fiscalía de Distrito podría respaldar la prohibición del uso de preservativos como prueba[277].

El Departamento de Policía de San Francisco reconoció que existía una política por la cual se tomaban fotografías de preservativos para sustanciar los cargos de merodeo con fines de prostitución. El teniente Fox afirmó que el Departamento de Policía de San Francisco “no tiene intención de desalentar el uso de preservativos”, pero no le preocupaba que los propietarios de establecimientos donde posiblemente se mantenían relaciones sexuales se mostraran reticentes a ofrecer con preservativos:

Tal vez alguien que tiene un burdel ilegal podría tener miedo de que haya preservativos, eso depende de ellos[278].

El Departamento para el Control de Bebidas Alcohólicas emitió la siguiente declaración en respuesta a una consulta de Human Rights Watch, y se negó a hacer más comentarios:

Se presume que cada caso de prostitución es único. Si bien la exhibición o distribución de preservativos en un bar o club nocturno en algunos casos puede ser un indicio de que se ejerce la prostitución, el ABC y las autoridades de aplicación de la ley de California en general reconocen que dicha exhibición/distribución pública es aceptada por los propietarios de establecimientos comerciales en muchas comunidades por motivos de salud, para ayudar a prevenir enfermedades de transmisión sexual. Los preservativos pueden comprarse en farmacias, tiendas de comestibles, máquinas expendedoras, gasolineras, bares y en Internet, y se distribuyen en forma gratuita en numerosos centros especializados en infecciones de transmisión sexual (Sexually Transmitted Infections, STI) y VIH. Sin embargo, en casos de prostitución, cuando agentes de seguridad pública encubiertos efectivamente solicitan servicios sexuales a cambio de dinero como parte de su trabajo, si la persona sospechada de ejercer la prostitución lleva un preservativo que se usaría para el delito luego del ofrecimiento, el preservativo podría usarse como prueba[279].

Israel Nieves-Rivera, director de políticas y prevención del VIH del Departamento de Salud de San Francisco (San Francisco Department of Health), no tenía conocimiento de la resolución de 1994 de la Junta de Supervisores, pero expresó preocupación por el uso de preservativos como prueba de prostitución. Nieves-Rivera manifestó:

Necesitamos que en la ciudad exista un acceso universal a los preservativos, de modo que todos los establecimientos comerciales se sientan cómodos y alentados a tener preservativos[280].

Rivera indicó que el Plan de Prevención del VIH para 2012-2015 del Departamento de Salud de San Francisco consideraba el alto nivel de consumo de alcohol como uno de los principales factores que favorecían el riesgo de infección con VIH, dado que aumenta la probabilidad de que las personas participen en prácticas riesgosas. Para fomentar una respuesta estructural a este problema, el Consejo de Planificación de la Prevención del VIH (HIV Prevention Planning Council) recomendó la adopción de leyes que exijan la disponibilidad de preservativos en todos los establecimientos que vendan bebidas alcohólicas en la ciudad, y propuso trabajar conjuntamente con el Departamento para el Control de Bebidas Alcohólicas del estado sobre este tema[281].

Con respecto a las salas de masajes, Nieves-Rivera manifestó:

En cuanto a las salas de masajes, consideramos que se necesita una respuesta coordinada entre las distintas secciones del departamento de salud, como prevención del VIH y de ETS y Salud Ambiental. También debemos continuar colaborando con el Departamento de Policía de San Francisco, puesto que todos somos ‘funcionarios de seguridad pública’. Estamos abiertos a tomar como base el modelo exitoso que pusimos en práctica para el acceso a jeringas y a reunirnos con el SFPD, el Fiscal de Distrito y la Comisión de Derechos Humanos para analizar este tema en mayor profundidad y formular un plan[282].

La Comisión de Derechos Humanos de San Francisco ha expresado que considera inquietante el uso de preservativos como prueba de prostitución. La ex comisionada Cecelia Chung y la actual directora ejecutiva de la Comisión Theresa Sparks tienen previsto convocar a una reunión entre las distintas agencias y celebrar una audiencia pública para tratar el tema[283].

Obligaciones de derechos humanos

Derecho a la prevención del VIH y al acceso a preservativos

El VIH es una enfermedad que puede llegar a ser mortal, y existen otras enfermedades de transmisión sexual que aumentan la probabilidad de infección con VIH. La intromisión policial que frustra la capacidad de acceder a medios de prevención del VIH, ya sea mediante información suministrada por pares o el uso de preservativos, constituye un obstáculo al derecho a la vida y a la salud y es incompatible con las normas de derechos humanos.

La Declaración Universal de los Derechos Humanos garantiza a todas las personas el derecho a la salud y al bienestar, así como a la vida, la dignidad y el derecho a no ser discriminadas[284]. El Pacto Internacional de Derechos Civiles y Políticos (PIDCP), que ha sido suscripto y ratificado por Estados Unidos, garantiza a cada persona el derecho a la vida, un derecho fundamental que está implícito en todas las políticas que interfieren con la prevención del VIH[285]. De hecho, se ha interpretado que el tratado exige que los Estados adopten medidas positivas para hacer frente a epidemias y otras amenazas a la salud pública[286]. El accionar policial que menoscaba las iniciativas de prevención del VIH al obstaculizar el uso de preservativos resulta incompatible con las garantías fundamentales consagradas en el PIDCP.

El derecho de acceso a preservativos y a servicios de prevención del VIH es también un componente esencial del derecho humano al más alto nivel posible de salud. El Pacto Internacional de Derechos Económicos, Sociales y Culturales (PIDESC) obliga a los Estados Partes a adoptar aquellas medidas que sean “necesarias para... la prevención y el tratamiento de las enfermedades epidémicas… y la lucha contra ellas”, incluido el VIH[287]. Los organismos de Naciones Unidas responsables de supervisar la implementación del PIDESC han interpretado que esta disposición incluye el acceso a los preservativos e información completa sobre el VIH[288]. Según la interpretación del Comité de Derechos Económicos, Sociales y Culturales, el órgano de la ONU encargado de supervisar la implementación del PIDESC, el artículo 12 requiere “que se establezcan programas de prevención y educación para hacer frente a las preocupaciones de salud que guardan relación con el comportamiento, como las enfermedades de transmisión sexual, en particular el VIH”[289]. El comité observa al respecto:

Los Estados deben abstenerse de limitar el acceso a los anticonceptivos u otros medios de mantener la salud sexual y genésica, censurar, ocultar o desvirtuar intencionalmente la información relacionada con la salud, incluida la educación sexual y la información al respecto, así como impedir la participación del pueblo en los asuntos relacionados con la salud...[290].

Según el comité, el PIDESC no sólo obliga a los gobiernos a establecer estos programas “expedita y eficazmente”, sino que también les prohíbe “injerirse directa o indirectamente en el disfrute del derecho a la salud”[291]. Las políticas que frustran la prevención del VIH al limitar el acceso a los preservativos se encuadran en esta descripción. Asimismo, el PIDESC protege contra la discriminación en la prevención sanitaria por razones de género, condición social u otros factores, y obliga a los gobiernos a asegurar el derecho a la salud de los miembros marginados de la sociedad. De hecho, el comité considera el derecho de acceso a los centros, bienes y servicios de salud sin discriminación, en especial para los grupos vulnerables o marginados, como una obligación “fundamental” y esencial para el derecho a la salud[292]. En Estados Unidos, el PIDESC ha sido suscripto pero no fue ratificado. Sin embargo, como signatario, el gobierno no queda exento de obligaciones en virtud del PIDESC, y debe evitar la adopción de medidas que pudieran menoscabar la intención y el propósito del tratado[293].

El derecho internacional también protege el derecho de todas las mujeres al control de su salud reproductiva y sexual. La Convención sobre la Eliminación de Todas las Formas de Discriminación contra la Mujer (Convention on the Elimination of All Forms of Discrimination Against Women, CEDAW), un tratado que fue suscripto pero que no ha sido ratificado por Estados Unidos, establece claramente el derecho a tomar decisiones informadas relativas a medidas anticonceptivas seguras y confiables, y acceder a información sobre planificación familiar, educación y “medios que les permitan ejercer estos derechos”[294].

Las Directrices Internacionales sobre el VIH/sida y los Derechos Humanos, una serie de interpretaciones no vinculantes pero autorizadas de las normas de derechos humanos aplicables al VIH, abordan la realidad de las poblaciones marginadas, incluidos los trabajadores sexuales, que han sido objeto de discriminación y se les ha negado el acceso igualitario a servicios de prevención del VIH:

La prevalencia del VIH ha aumentado entre los grupos de la sociedad más marginados, como los profesionales del sexo, las personas que usan drogas y los varones que tienen relaciones sexuales con varones. La cobertura de las intervenciones para educar a las personas sobre el VIH, proporcionarles productos de prevención, servicios y tratamiento del VIH, para protegerlos de la discriminación y la violencia sexual y capacitarlos a fin de participar en la respuesta y de vivir satisfactoriamente en un mundo con VIH es inaceptablemente baja en muchas partes del mundo[295].

Los organismos de aplicación de la ley tienen la responsabilidad de hacer cumplir las leyes contra la prostitución. Sin embargo, la aplicación de las leyes debe ser compatible con las obligaciones internacionales de derechos humanos, incluido el derecho a la salud, que también es un aspecto de la seguridad pública que debe tener en cuenta la policía[296]. Teniendo en cuenta que los trabajadores sexuales suelen sufrir violaciones de derechos humanos debido a la condición legal de su trabajo, el Programa Conjunto de las Naciones Unidas sobre el Sida (ONUSIDA) recomienda lo siguiente:

En lo que respecta al trabajo sexual de adultos sin victimización, debería revisarse la legislación penal para despenalizar y posteriormente regular las condiciones de salud e higiene en esa profesión, a fin de proteger a los trabajadores del sexo y a sus clientes, incluso apoyando las prácticas sexuales seguras en este tipo de trabajo. La legislación penal no debería impedir la prestación de servicios de prevención y atención del VIH a los profesionales del sexo y sus clientes[297].

La Nota de Orientación de la ONU sobre el VIH y el Trabajo Sexual hace referencia a la vulnerabilidad de los trabajadores sexuales frente a la infección con VIH, un dato que “reflej[a] la falta de una respuesta adecuada a sus necesidades en cuestiones de derechos humanos y salud pública”[298]. La Nota de Orientación de la ONU establece lo siguiente:

Los preservativos, tanto masculinos como femeninos, constituyen la única tecnología disponible más eficaz para reducir la transmisión sexual del VIH y otras infecciones de transmisión sexual. Los preservativos deben estar fácilmente disponibles para los profesionales del sexo y sus clientes, ya sea en forma gratuita o a un bajo costo, y ajustarse a las normas mundiales de calidad [...] [E]l acoso de los agentes del orden reduce la capacidad de los profesionales del sexo de negociar la utilización de preservativos; los gobiernos y los prestadores de servicios deben hacer frente a estos factores para maximizar el impacto de los programas sobre uso de preservativos orientados al trabajo sexual[299].

El acceso a información y servicios para la prevención del VIH está reconocido en el artículo 19 del PIDCP, que tiene efectos vinculantes para Estados Unidos y garantiza la “libertad de buscar, recibir y difundir informaciones e ideas de toda índole...”[300]. De manera similar, el Comité de Derechos Económicos, Sociales y Culturales ha indicado de manera similar que la “accesibilidad de la información” es un elemento esencial del derecho a la salud. Los trabajadores de contacto más efectivos —y a veces los únicos que dan resultado— para la prevención del VIH entre personas marginadas suelen ser sus propios pares. Cuando existen leyes y políticas que equiparan los preservativos con la actividad delictiva e interfieren con las iniciativas de los trabajadores sexuales destinadas a distribuir preservativos a sus pares, se menoscaba seriamente el acceso a la salud.

Numerosos policías y fiscales manifestaron que los preservativos son una herramienta necesaria para hacer cumplir las leyes contra la prostitución. No obstante, en los diversos sistemas jurídicos de todo el mundo, las normas probatorias tienen en cuenta consideraciones de política pública. Un ejemplo de ello son las leyes de protección de víctimas de violación (rape shield laws). Estas leyes, que fueron codificadas a través de la Norma Federal sobre Pruebas (Federal Rule of Evidence) 412 y de las leyes de cada uno de los estados de Estados Unidos, excluyen la posibilidad de usar en un juicio por violación cualquier prueba que se relacionen con la actividad sexual previa de la víctima[301]. Esta exclusión refleja el criterio del Congreso y las legislaturas de los estados según el cual la importancia de alentar a las víctimas de violación a denunciar las agresiones sexuales y otros objetivos de política pública supera cualquier valor probatorio que podría tener este tipo de declaraciones[302]. De manera similar, es común que se excluyan pruebas vinculadas con el secreto profesional entre médico y paciente, abogado y cliente y otra información privilegiada, y las autoridades del derecho han explicado al respecto que tales exclusiones reflejan “un principio o relación que, a criterio de la sociedad, merece ser conservado o fomentado”, no obstante el potencial valor probatorio de esas evidencias[303]. En este caso, las consideraciones de política pública contemplan no sólo promover iniciativas de salud pública y prevención del VIH sino también proteger el derecho a usar y tener métodos anticonceptivos, el cual ha sido garantizado a cada persona por la Corte Suprema de Estados Unidos como un aspecto del derecho fundamental a la privacidad[304].

Derecho a la libertad y la seguridad personal, y a no ser objeto de detención arbitraria

El derecho a la salud está estrechamente relacionado con el goce de otros derechos humanos y depende de dicho ejercicio. Además de la protección de todas las personas frente a discriminación por motivos de sexo, raza “o cualquier otra condición”, el PIDCP garantiza los derechos a la “libertad y seguridad personales” y a no ser sometido a “detención o prisión arbitrarias”[305]. La CuartaEnmienda a la Constitución de Estados Unidos consagra el derecho a no ser objeto de “incautaciones y cateos arbitrarios” por parte de la policía. Las leyes sobre merodeo amplias, como las que existen en Nueva York, California y en las “zonas libres de prostitución” en Washington, DC, resultan problemáticas en lo que respecta a su adecuación a estas normas de derechos humanos[306]. Las pruebas circunstanciales que permiten que la policía intercepte, registre y efectúe detenciones en virtud de estas leyes (como la vestimenta, el lugar donde se encuentran las personas y el que sean “conocidas” como alguien que ejerce la prostitución), también facilitan una injerencia injustificada en actividades lícitas y dan lugar a detenciones arbitrarias efectuadas con criterios preventivos que tienen en cuenta el perfil o la condición específica de tales individuos, en vez de observar si se produjo una conducta ilícita[307].

Numerosas personas entrevistadas para este informe declararon que fueron interceptadas y palpadas pese a que no hacían nada ilegal, algunas de ellas incluso mientras caminaban hacia sus casas, regresaban de la escuela y esperaban el autobús. Si bien las directrices policiales de Washington, DC y de Los Ángeles prohíben asociar automáticamente a las personas transgénero con trabajadores sexuales, el lenguaje impreciso y amplio de las leyes sobre merodeo y contra la prostitución pareciera fomentar esta práctica discriminatoria. Los Principios de Yogyakarta, una serie de estándares avalados por expertos en derecho independientes de 25 países que aplican el derecho internacional de los derechos humanos existente a aspectos relacionadas con orientación sexual e identidad de género, instan a poner fin a las leyes que promueven la identificación arbitraria de personas en función de criterios selectivos y prácticas que impliquen desigualdad ante la ley:

Los Estados adoptarán todas las medidas legislativas, administrativas y de otra índole que sean necesarias a fin de garantizar que la orientación sexual o la identidad de género no puedan, bajo ninguna circunstancia, ser la base del arresto o la detención, incluyendo la eliminación de disposiciones del derecho penal redactadas de manera imprecisa que incitan a una aplicación discriminatoria o que de cualquier otra manera propician arrestos basados en prejuicios[308].

En 2011, el Gobierno de Estados Unidos investigó denuncias que señalaban que la policía identificaba, en función de criterios selectivos, a las personas transgénero como trabajadores sexuales en Nueva Orleans. El Departamento de Justicia informó al respecto:

También encontramos que existían indicios razonables para creer que las prácticas del Departamento de Policía de Nueva Orleans (New Orleans Police Department, NOPD) redundan en un trato discriminatorio de personas LGBT. En particular, las mujeres transgénero denuncian que policías del NOPD las persiguen de manera indebida, las detienen por prostitución y, en ocasiones, inventan pruebas falsas de que se ofreció sexo a cambio de una contraprestación[309].

El Departamento de Justicia concluyó que el Departamento de Policía de Nueva Orleans “no implementaba políticas adecuadas ni impartía una capacitación que permitiera identificar y articular las sospechas a partir de conductas y otros factores permitidos”[310]. También en Nueva York, Washington, DC y Los Ángeles se requiere una supervisión federal similar de las interacciones de la policía con personas transgénero.

Otra norma problemática es una ley que afecta a trabajadores sexuales en San Francisco y Los Ángeles. La legislación de California exige practicar pruebas de VIH a todas las personas condenadas por prostitución[311]. La obligatoriedad de las pruebas de VIH resulta incompatible con las normas internacionales de derechos humanos y su efecto es menoscabar, en lugar de fomentar, la salud pública. Las pruebas obligatorias pueden tener efectos contraproducentes, ya que suelen alejar a los trabajadores sexuales de los servicios de salud pública esenciales[312]. Las pautas internacionales, incluidas las emitidas por la Organización Mundial de la Salud y ONUSIDA, han rechazado expresamente las pruebas de VIH obligatorias en todas sus formas[313]. Como indican las Directrices sobre el VIH/sida y los Derechos Humanos de ONUSIDA, estas leyes a menudo se aplican a las personas más vulnerables de la sociedad:

Las pruebas obligatorias de VIH pueden constituir una privación de la libertad y una violación al derecho a la seguridad de la persona. Esta medida coactiva se suele aplicar a grupos menos capaces de protegerse porque están en instituciones públicas o de derecho penal, por ejemplo, soldados, reclusos, profesionales del sexo... y varones que tienen relaciones sexuales con varones. No hay razones de salud pública que justifiquen esas pruebas del VIH obligatorias[314].

Una ley similar de California dispone que cuando se determina que una persona es VIH positiva tras una condena por prostitución, si en el futuro esta vuelve a ser detenida por prostitución la imputación podría pasar de delito menor a delito grave[315]. Esta ley discrimina a las personas con VIH, y resulta particularmente injusta en un contexto en que la policía interfiere con el derecho de los trabajadores sexuales a protegerse contra el VIH.

Derecho a no sufrir tratos o penas crueles, inhumanos y degradantes

El derecho internacional y de los países prohíbe las prácticas policiales abusivas y corruptas, que incluyen el acoso verbal, la humillación y la obligación de mantener relaciones sexuales a cambio de lenidad. El artículo 16 de la Convención contra la Tortura y Otros Tratos o Penas Crueles, Inhumanos o Degradantes (CCT) y el artículo 7 del PIDCP establecen garantías contra el trato cruel, inhumano o degradante de personas que se encuentran bajo custodia policial, y ambos tratados han sido suscriptos y ratificados por Estados Unidos[316]. Diversas declaraciones no vinculantes adoptadas por la Asamblea General de la ONU, como el Código de Conducta para Funcionarios Encargados de Hacer Cumplir la Ley, el Conjunto de Principios para la Protección de Todas las Personas Sometidas a Cualquier Forma de Detención, y las Reglas Mínimas para el Tratamiento de los Reclusos, también se han convertido en normas universales empleadas para evaluar la actuación de la policía.

En virtud de estas declaraciones de la ONU sobre prácticas policiales, los funcionarios encargados de hacer cumplir la ley deben tratar a todas las personas con compasión y mostrar respeto por su dignidad, y no deben provocar, instigar ni tolerar ningún trato o pena cruel, inhumano o degradante[317]. Deben establecerse mecanismos efectivos para garantizar que se apliquen medidas de disciplina y supervisión a los funcionarios encargados de la aplicación de la ley en el ámbito interno[318]. La violación y las agresiones sexuales perpetradas o toleradas por funcionarios del Estado mientras una persona se encuentra detenida se consideran actos de tortura[319].

Numerosos trabajadores sexuales, en particular mujeres transgénero en Nueva York y Los Ángeles, ofrecieron su testimonio sobre múltiples ejemplos de conducta policial que constituye trato cruel, inhumano y degradante y viola el derecho a la libertad y seguridad de la persona[320]. Los casos en que la policía interceptó a personas y luego usó preservativos como prueba a menudo se produjeron en un contexto de acoso verbal, abuso físico, humillación y extorsión para mantener relaciones sexuales, tanto dentro como fuera de centros de detención. Human Rights Watch advirtió que, en el caso de algunas personas entrevistadas, el temor a volver a sufrir maltratos o a ser expulsadas de Estados Unidos si fueran detenidas por prostitución impedía que se denunciaran abusos y conductas indebidas por parte de policías. El relator especial de la ONU sobre la cuestión de la tortura ha condenado la discriminación contra minorías sexuales en contextos de detención, incluidos el abuso y la violación sexual, y la falta de rendición de cuentas de la policía que habitualmente se observa con respecto a estos delitos[321].

En marzo de 2011, como parte de su Examen Periódico Universal ante el Consejo de Derechos Humanos de la ONU, Estados Unidos aceptó la recomendación 86 del informe del Consejo, con la siguiente declaración: “Aceptamos que ninguna persona debe enfrentar discriminación en el acceso a servicios públicos ni sufrir violencia en razón de su orientación sexual o su condición de persona dedicada a la prostitución”[322]. Esta es la primera vez que Estados Unidos reconoce públicamente su obligación de respetar los derechos humanos de los trabajadores sexuales. Lamentablemente, los testimonios de trabajadores sexuales y personas transgénero reunidos en este informe confirman que aún queda mucho por hacer para asegurar el goce efectivo de estos derechos humanos.

Recomendaciones

Nueva York

A la Legislatura del estado de Nueva York

  • Promulgar leyes que prohíban considerar que la posesión de preservativos constituye una prueba de prostitución y delitos relacionados.
  • Modificar o derogar el artículo 240.37 de la Ley Penal de Nueva York (New York Penal Law), la norma que prohíbe el merodeo con fines de prostitución, por ser incompatible con las normas de derechos humanos y las normas constitucionales de Estados Unidos.

Ciudad de Nueva York

Al Consejo Municipal de Nueva York

  • Promulgar leyes que prohíban considerar que la posesión de preservativos constituye una prueba de prostitución y delitos relacionados.
  • Promulgar la Ley de Seguridad en las Comunidades (Community Safety Act), una norma que prohíbe y brinda una reparación en los casos en que la identificación de personas utilizando criterios selectivos afecte de manera desproporcionada a las personas y las comunidades en función de su raza, orientación sexual, identidad de género y otros motivos prohibidos.

Al Alcalde de la Ciudad de Nueva York

  • Brindar apoyo a leyes que prohíban utilizar los preservativos como prueba de prostitución y delitos relacionados.
  • Dictar un decreto ejecutivo que prohíba al Departamento de Policía de la Ciudad de Nueva York utilizar los preservativos como pruebas de prostitución y delitos relacionados.
  • Adoptar las medidas necesarias en términos de políticas, supervisión y acciones disciplinarias para garantizar que las interacciones del Departamento de Policía de la Ciudad de Nueva York con trabajadores sexuales, personas transgénero y jóvenes LGBT en la Ciudad de Nueva York cumplan con las normas de derechos humanos y las normas constitucionales de Estados Unidos, y se lleven a cabo con respeto y de manera profesional.

Al Departamento de Policía de la Ciudad de Nueva York

  • Dejar de utilizar, en forma inmediata, la posesión de preservativos como prueba para arrestar, interrogar o detener a personas que, presuntamente, sean trabajadores sexuales, o para sustanciar acusaciones por prostitución y delitos relacionados. Emitir una directiva para todos los policías en la cual se destaque la importancia de los preservativos, en términos de salud pública, para la prevención del VIH y para la salud sexual y reproductiva. Asegurar que los policías reciban capacitación periódica sobre este protocolo, y que deban rendir cuentas en caso de que no lo cumplan.
  • Brindar apoyo a leyes que prohíban considerar que la posesión de preservativos constituye una prueba de prostitución y delitos relacionados.
  • Adoptar políticas, directrices y mecanismos de aplicación de la ley que garanticen que las interacciones con trabajadores sexuales, personas transgénero y jóvenes LGBT cumplan con las normas de derechos humanos y las normas constitucionales de Estados Unidos, y se lleven a cabo con respeto y de manera profesional.
  • Adoptar políticas, directrices y mecanismos de aplicación de la ley que garanticen que, en todos los casos en que se intercepta, cachea y revisa a personas, se cumplan las normas de derechos humanos y las normas constitucionales de Estados Unidos.

A los Fiscales de Distrito de la Ciudad de Nueva York

  • Dejar de utilizar, en forma inmediata, la posesión de preservativos como prueba para realizar acusaciones por prostitución y delitos relacionados.
  • Brindar apoyo a leyes que prohíban utilizar los preservativos como prueba de prostitución y delitos relacionados.

Al Departamento de Salud e Higiene Mental de Nueva York

  • Brindar apoyo a leyes que prohíban considerar que la posesión de preservativos constituye una prueba de prostitución y delitos relacionados.
  • Instar al Departamento de Policía de la Ciudad de Nueva York (New York City Police Department, NYPD) a que deje de utilizar, en forma inmediata, la posesión de preservativos como prueba para arrestar, interrogar o detener a personas que, presuntamente, sean trabajadores sexuales, o para sustanciar acusaciones por prostitución y delitos relacionados. Llevar a cabo capacitaciones y participar en otras iniciativas en colaboración con el NYPD que destaquen la importancia de los preservativos, en términos de salud pública, para la prevención del VIH y la salud sexual y reproductiva.

Washington, DC

Al Consejo del Distrito de Columbia

  • Promulgar leyes que prohíban considerar que la posesión de preservativos constituye una prueba de prostitución y delitos relacionados.
  • Modificar o derogar las leyes contra la prostitución que sean imprecisas, excesivamente amplias, y que den lugar a la discriminación y las detenciones arbitrarias, por ser incompatibles con las normas de derechos humanos y las normas constitucionales de Estados Unidos.

Al Alcalde de Washington, DC

  • Brindar apoyo a leyes que prohíban considerar que la posesión de preservativos constituye una prueba de prostitución y delitos relacionados.
  • Dictar un decreto ejecutivo que prohíba al Departamento de Policía Metropolitana considerar que la posesión de preservativos constituye una prueba de prostitución y delitos relacionados.
  • Apoyar la modificación o derogación de leyes contra la prostitución que sean imprecisas, excesivamente amplias, y que den lugar a la discriminación y las detenciones arbitrarias, por ser incompatibles con las normas de derechos humanos y las normas constitucionales de Estados Unidos.
  • Adoptar las medidas necesarias en términos de políticas, supervisión y acciones disciplinarias para garantizar que las interacciones del Departamento de Policía Metropolitana con trabajadores sexuales y personas transgénero en Washington, DC cumplan con las normas de derechos humanos y las normas constitucionales de Estados Unidos, y se lleven a cabo con respeto y de manera profesional.

Al Departamento de Policía Metropolitana

  • Dejar de utilizar, en forma inmediata, la posesión de preservativos como prueba para arrestar, interrogar o detener a personas que, presuntamente, sean trabajadores sexuales, o para sustanciar acusaciones por prostitución y delitos relacionados. Emitir una directiva para todos los policías en la cual se destaque la importancia de los preservativos, en términos de salud pública, para la prevención del VIH y para la salud sexual y reproductiva. Asegurar que los policías reciban capacitación periódica sobre este protocolo, y que deban rendir cuentas en caso de que no lo cumplan.
  • Adoptar políticas, directrices y mecanismos de aplicación de la ley que garanticen que las interacciones con trabajadores sexuales y personas transgénero cumplan con las normas de derechos humanos y las normas constitucionales de Estados Unidos, y se lleven a cabo con respeto y de manera profesional. Garantizar el cumplimiento con las directrices del Departamento de Policía Metropolitana para la interacción con personas transgénero, incluso las que prohíben identificar, en función de criterios selectivos, a las personas transgénero como trabajadores sexuales.
  • Adoptar políticas, directrices y mecanismos de aplicación de la ley que garanticen que, en todos los casos en que se intercepta y revisa a personas, se cumplan las normas de derechos humanos y las normas constitucionales de Estados Unidos.

Al Departamento de Salud del Distrito de Columbia

  • Brindar apoyo a leyes que prohíban utilizar los preservativos como prueba de prostitución y delitos relacionados.
  • Instar al Departamento de Policía Metropolitana (MPD) a que deje de utilizar, en forma inmediata, la posesión de preservativos como prueba para arrestar, interrogar o detener a personas que, presuntamente, sean trabajadores sexuales, o para sustanciar acusaciones por prostitución y delitos relacionados. Llevar a cabo capacitaciones y participar en otras iniciativas en colaboración con el MPD que destaquen la importancia de los preservativos, en términos de salud pública, para la prevención del VIH y la salud sexual y reproductiva.

California

A la Legislatura del estado de California

  • Promulgar leyes que prohíban considerar que la posesión de preservativos constituye una prueba de prostitución y delitos relacionados.
  • Derogar el artículo 1202.6 del Código Penal de California, que establece que todas las personas que reciban condenas por prostitución deben realizarse un análisis de detección de VIH, y el artículo 647f del Código Penal de California, que prevé sanciones más rigurosas para las personas que, siendo VIH positivas, reciban una segunda condena por el delito de prostitución, por ser discriminatoria, innecesaria e incompatible con las normas de derechos humanos y las normas constitucionales de Estados Unidos.
  • Modificar o derogar el artículo 653.22 del Código Penal de California, la ley que prohíbe el merodeo con la intención de ejercer la prostitución, por ser incompatible con las normas de derechos humanos y las normas constitucionales de Estados Unidos.

A la Junta de Control de Bebidas Alcohólicas de California (California Alcoholic Beverage Control Board)

  • Dejar de utilizar, en forma inmediata, la posesión de preservativos como prueba para arrestar, interrogar o detener a personas que, presuntamente, sean trabajadores sexuales, o para sustanciar acusaciones por prostitución y delitos relacionados. Emitir una directiva para todos los policías en la cual se destaque la importancia de los preservativos, en términos de salud pública, para la prevención del VIH y para la salud sexual y reproductiva. Asegurar que los policías reciban capacitación periódica sobre este protocolo, y que deban rendir cuentas en caso de que no lo cumplan.

Los Ángeles

Al Consejo Municipal de Los Ángeles

  • Promulgar leyes que prohíban considerar que la posesión de preservativos constituye una prueba de prostitución y delitos relacionados.

Al Alcalde de Los Ángeles

  • Brindar apoyo a leyes que prohíban considerar que la posesión de preservativos constituye una prueba de prostitución y delitos relacionados.
  • Dictar un decreto ejecutivo que prohíba al Departamento de Policía de Los Ángeles considerar que la posesión de preservativos constituye una prueba de prostitución y delitos relacionados.
  • Adoptar las medidas necesarias en términos de políticas, supervisión y medidas disciplinarias para garantizar que las interacciones del Departamento de Policía de Los Ángeles con trabajadores sexuales y personas transgénero en Los Ángeles cumplan con las normas de derechos humanos y las normas constitucionales de Estados Unidos, y se lleven a cabo con respeto y de manera profesional.

Al Departamento de Policía de Los Ángeles

  • Dejar de utilizar, en forma inmediata, la posesión de preservativos como prueba para arrestar, interrogar o detener a personas que, presuntamente, sean trabajadores sexuales, o para sustanciar acusaciones por prostitución y delitos relacionados. Emitir una directiva para todos los policías en la cual se destaque la importancia de los preservativos, en términos de salud pública, para la prevención del VIH y para la salud sexual y reproductiva. Asegurar que los policías reciban capacitación periódica sobre este protocolo, y que deban rendir cuentas en caso de que no lo cumplan.
  • Adoptar políticas, directrices y mecanismos de aplicación de la ley que garanticen que las interacciones con trabajadores sexuales y personas transgénero cumplan con las normas de derechos humanos y las normas constitucionales de Estados Unidos, y se lleven a cabo con respeto y de manera profesional. Garantizar el cumplimiento con las directrices del Departamento de Policía de Los Ángeles (Los Angeles Police Department, LAPD) para la interacción con personas transgénero, incluso las que prohíben identificar, en función de criterios selectivos, a las personas transgénero como trabajadores sexuales.
  • Adoptar políticas, directrices y mecanismos de aplicación de la ley que garanticen que, en todos los casos en que se intercepta y revisa a personas, se cumplan las normas de derechos humanos y las normas constitucionales de Estados Unidos.

Al Procurador Municipal de Los Ángeles

  • Dejar de utilizar, en forma inmediata, la posesión de preservativos como prueba para realizar acusaciones por prostitución y delitos relacionados.
  • Brindar apoyo a leyes que prohíban considerar que la posesión de preservativos constituye una prueba de prostitución y delitos relacionados.
  • Apoyar la derogación del artículo 1202.6 del Código Penal de California, que establece que todas las personas que reciban condenas por prostitución deben realizarse un análisis de detección de VIH, y el artículo 647f del Código Penal de California, que prevé sanciones más rigurosas para las personas que, siendo VIH positivas, reciban una segunda condena por el delito de prostitución, por ser discriminatorios, innecesarios e incompatibles con las normas de derechos humanos y las normas constitucionales de Estados Unidos.
  • Apoyar la modificación o derogación del artículo 653.22 del Código Penal de California, que prohíbe el merodeo con la intención de ejercer la prostitución, por ser incompatible con las normas de derechos humanos y las normas constitucionales de Estados Unidos.

Al Departamento de Salud Pública del Condado de Los Ángeles

  • Brindar apoyo a leyes que prohíban considerar que la posesión de preservativos constituye una prueba de prostitución y delitos relacionados.
  • Instar al Departamento de Policía de Los Ángeles (LAPD) a que deje de utilizar, en forma inmediata, la posesión de preservativos como prueba para arrestar, interrogar o detener a personas que, presuntamente, sean trabajadores sexuales, o para sustanciar acusaciones por prostitución y delitos relacionados. Llevar a cabo capacitaciones y participar en otras iniciativas en colaboración con el LAPD que destaquen la importancia de los preservativos, en términos de salud pública, para la prevención del VIH y la salud sexual y reproductiva.

San Francisco

A la Junta de Supervisores de la Ciudad de San Francisco

  • Promulgar leyes que prohíban considerar que la posesión de preservativos constituye una prueba de prostitución y delitos relacionados.

Al Alcalde de San Francisco

  • Apoyar la sanción de leyes que prohíban considerar que la posesión de preservativos constituye una prueba de prostitución y delitos relacionados.
  • Dictar un decreto ejecutivo que prohíba al Departamento de Policía de San Francisco considerar que la posesión de preservativos constituye una prueba de prostitución y delitos relacionados.

Al Departamento de Policía de San Francisco

  • Dejar de utilizar, en forma inmediata, la posesión de preservativos como prueba para arrestar, interrogar o detener a personas que, presuntamente, sean trabajadores sexuales, o para sustanciar acusaciones por prostitución y delitos relacionados. Emitir una directiva para todos los policías en la cual se destaque la importancia de los preservativos, en términos de salud pública, para la prevención del VIH y para la salud sexual y reproductiva. Asegurar que los policías reciban capacitación periódica sobre este protocolo, y que deban rendir cuentas en caso de que no lo cumplan.

Al Fiscal de Distrito de San Francisco

  • Dejar de utilizar, en forma inmediata, la posesión de preservativos como prueba para realizar acusaciones por prostitución y delitos relacionados.
  • Brindar apoyo a leyes que prohíban considerar que la posesión de preservativos constituye una prueba de prostitución y delitos relacionados.
  • Apoyar la derogación del artículo 1202.6 del Código Penal de California, que establece que todas las personas que reciban condenas por prostitución deben realizarse un análisis de detección de VIH, y el artículo 647f del Código Penal de California, que prevé sanciones más rigurosas para las personas que, siendo VIH positivas, reciban una segunda condena por el delito de prostitución, por ser discriminatorios, innecesarios e incompatibles con las normas de derechos humanos y las normas constitucionales de Estados Unidos.
  • Apoyar la modificación o derogación del artículo 653.22 del Código Penal de California, que prohíbe el merodeo con la intención de ejercer la prostitución, por ser incompatible con las normas de derechos humanos y las normas constitucionales de Estados Unidos.

Al Departamento de Salud Pública de San Francisco

  • Brindar apoyo a leyes que prohíban considerar que la posesión de preservativos constituye una prueba de prostitución y delitos relacionados.
  • Instar al Departamento de Policía de San Francisco (San Francisco Police Department, SFPD) a que deje de utilizar, en forma inmediata, la posesión de preservativos como prueba para arrestar, interrogar o detener a personas que, presuntamente, sean trabajadores sexuales, o para sustanciar acusaciones por prostitución y delitos relacionados. Llevar a cabo capacitaciones y participar en otras iniciativas en colaboración con el SFPD que destaquen la importancia de los preservativos, en términos de salud pública, para la prevención del VIH y para la salud sexual y reproductiva.
  • Asegurar que el trabajo de los inspectores de Salud Ambiental esté coordinado con el de la unidad de Prevención del VIH/las ETS (HIV/STD Prevention) respecto de las cuestiones de prevención del VIH y la importancia de promover el acceso a preservativos en establecimientos comerciales de San Francisco, como salas de masajes, clubes de baile erótico y otros.
  • Apoyar la propuesta del Consejo de Planificación de la Prevención del VIH (HIV Prevention Planning Council) de que se dicte una ordenanza, para toda la ciudad, que establezca el requisito obligatorio de que, en todos los establecimientos comerciales de San Francisco que vendan bebidas alcohólicas, se pueda tener acceso a preservativos y lubricantes.

Al gobierno estadounidense

  • La Oficina de Política Nacional de Sida (Office of National AIDS Policy) y los organismos federales responsables de implementar la estrategia nacional sobre sida deberían:
    • Reconocer que las violaciones de derechos humanos constituyen importantes obstáculos respecto de la prevención del VIH para los trabajadores sexuales, las mujeres transgénero, los jóvenes LGBT y otros grupos vulnerables, y dar prioridad a las intervenciones estructurales para abordar esos abusos;
    • Instar a los estados a que prohíban considerar que la posesión de preservativos constituye una prueba de prostitución y delitos relacionados, y desarrollar un plan para brindar orientación, asistencia técnica y modelos de leyes para alcanzar este objetivo;
    • Asegurar la inclusión de los trabajadores sexuales y las mujeres transgénero en las iniciativas del Grupo de Trabajo sobre la Intersección del VIH/sida (Working Group on the Intersection of HIV/AIDS), Violencia contra Mujeres y Niñas (Violence against Women and Girls), y Disparidades entre los Géneros en Cuestiones de Salud (Gender-related Health Disparities);
    • Asegurar que los datos sobre investigación y vigilancia del VIH reflejen adecuadamente el impacto del VIH sobre los trabajadores sexuales y las mujeres transgénero.
    • El Departamento de Justicia debería investigar el trato que reciben los trabajadores sexuales y las personas transgénero por parte de la policía en la Ciudad de Nueva York, Washington, DC y Los Ángeles, y ocuparse, en forma constante, de revisar, hacer cumplir y supervisar las políticas y prácticas para garantizar que respeten las normas de derechos humanos y las normas constitucionales de Estados Unidos.

A las Naciones Unidas

A las Comisiones de Derechos Humanos, Derechos Económicos, Sociales y Culturales, y Discriminación Racial de las Naciones Unidas; el Grupo de Trabajo sobre la Detención Arbitraria; los Relatores Especiales de las Naciones Unidas sobre el Derecho al Más Alto Nivel de Salud Posible y sobre la Tortura y Otros Tratos o Penas Crueles, Inhumanos o Degradantes; y el Consejo de Derechos Humanos de las Naciones Unidas:

  • Instar a Estados Unidos a garantizar que la policía y los fiscales dejen de utilizar los preservativos como prueba de prostitución y delitos relacionados.
  • Instar a Estados Unidos a modificar o derogar las leyes sobre merodeo excesivamente amplias y que den lugar a la discriminación y el castigo basados en la identidad o la condición de las personas en lugar de tener en cuenta las conductas delictivas.
  • Instar a Estados Unidos a proteger los derechos humanos de los trabajadores sexuales, las personas transgénero y los jóvenes LGBT en sus interacciones con la policía, tanto cuando están bajo custodia policial como cuando no están custodiados.

Agradecimientos

La redacción del presente informe estuvo a cargo de Megan McLemore, investigadora sénior de la división de Salud y Derechos Humanos de Human Rights Watch. La investigación fue realizada por un equipo de la División de Salud y Derechos Humanos, integrado, entre otras personas, por Rebecca Schleifer, directora de Incidencia; Katherine Todrys, consultora de investigación; Alex Gertner, asociado, y Margaret Wurth, pasante. El informe fue revisado, en Human Rights Watch, por Joseph Amon, director de la División de Salud y Derechos Humanos, Rebecca Schleifer, directora de Incidencia de la División de Salud y Derechos Humanos, Katherine Todrys, consultora de investigación, Antonio Ginatta, director de Incidencia del Programa de Estados Unidos, Graeme Reed, director el Programa de LGBT, Meghan Rhoad, investigadora de la División de Derechos de las Mujer, Dinah Pokempner, asesora legal, y Babatunde Olugboji, subdirector de programas de la Oficina de Programas. Colaboraron con la investigación Aretha Chakraborti, Theresa Cheng y Claire Gunner, pasantes de la División de Salud y Derechos Humanos. Margaret Wurth, asociada, Grace Choi, directora de publicaciones, Ivy Shen, asistente de multimedios, y Fitzroy Hepkins, gerente administrativo, brindaron asistencia para la producción.

Human Rights Watch agradece profundamente la invalorable colaboración de las personas y organizaciones de cada una de las cuatro ciudades analizadas en este informe.

En la Ciudad de Nueva York, Human Rights Watch desea agradecer a Sienna Baskin, del Sex Workers Project de Urban Justice Center; Rachel Thomas y Sara Hahn del Sexual Health and Rights Project de Open Society Foundation; Josh Saunders de Brooklyn Defender Services; Kate Mogulescu de Legal Aid Society of New York; Andrea Ritchie de Streetwise and Safe; Socheatta Meng y Daniel Mullkoff de New York Civil Liberties Union; Darius Charney del Center for Constitutional Rights; Mito Miller, Lorena Borjas, Juan David Gastolomendo, The Latino Commission on AIDS, Lambda Legal, el New York City Anti-Violence Project, Lower East Side Harm Reduction Center, FROST'D, CitiWide Harm Reduction, LGBT Center, Queens Pride House, Positive Health Project, otros miembros de PROS Network, y muchas personas más cuya ayuda inestimable permitió llevar adelante este proyecto.

En Los Ángeles, queremos expresar nuestro sincero agradecimiento a Bamby Salcedo de The Children’s Hospital Los Angeles, Víctor Martínez, Roberto Melendez, Brenda del Rio González y Sandra Esqueda de Bienestar, Shirin Buckman y Karina Samala del Grupo de Trabajo Transgénero de la Comisión de Relaciones de la Ciudad de Los Ángeles, Shayla Myers de Bet Tzedek Legal Services, Alessandra Moura del Departamento de Policía de Los Ángeles, Laurie Aronoff, Joseph Weiner, Transgender Service Provider Network (TSPN), y Sex Workers Outreach Project of Los Angeles (SWOP-LA).

En San Francisco, agradecemos al personal de St. James Infirmary, Carol Stuart, al Dr. Jeffrey Klausner, al personal de Trans:Thrive, y a Nadia Babella y Cecelia Chung de Francisco Human Rights Commission.

En Washington, DC, queremos agradecer al personal de Helping Individual Prostitutes Survive (HIPS), a Darby Hickey y Ruby Corado.

Y fundamentalmente, Human Rights Watch agradece a los trabajadores sexuales y las personas transgénero por la valentía de haber compartido sus experiencias para la elaboración de este informe.

Apéndice A. Formularios de denuncia de prostitución del Tribunal Penal de la Ciudad de Nueva York

Apéndice B. Carta de Latino Commission on AIDS al Departamento de Policía de Nueva York

Apéndice C. Resolución de San Francisco Ref.:
Los preservativos como prueba de prostitución

Apéndice D. Formularios de denuncia de prostitución del Tribunal Penal de San Francisco



[1] Aunque los afroamericanos representan solamente el 14 por ciento de la población estadounidense, el 46 por ciento de las personas que viven con VIH son afroamericanos, y el 64 por ciento de los casos de nuevas personas infectadas se da entre la población negra o latina. Centros para el Control y la Prevención de Enfermedades (Centers for Disease Control and Prevention, CDC) de Estados Unidos, “HIV/AIDS in the United States Fact Sheet”, http://www.cdc.gov/hiv/resources/factsheets/us.htm (consultado el 26 de abril de 2012).

[2]CDC, “Establishing a Holistic Framework to Reduce Inequities in HIV, Viral Hepatitis, STDs, and Tuberculosis in the United States”, 2010, http://www.cdc.gov/socialdeterminants/docs/SDH-White-Paper-2010.pdf (consultado el 7 de julio de 2012); CDC, “CDC Health Disparities and Inequalities Report-United States 2011”, Morbidity and Mortality Weekly Report, vol. 60, Supplement, 14 de enero de 2011; Human Rights Watch, Rights At Risk: State Response to HIV in Mississippi, marzo de 2011, http://www.hrw.org/reports/2011/03/09/rights-risk, pág. 51 (donde se explica el significado de “entorno de riesgo” para las personas de bajos ingresos de Misisipi).

[3]Hazel D. Dean y Kevin Fenton, “Addressing Social Determinants of Health in the Prevention and Control of HIV/AIDS, Viral Hepatitis, Sexually Transmitted Infections and Tuberculosis”, Public Health Reports, vol. 125, Supp. 4 (2010), pág. 1.

[4]Ver, p. ej. Human Rights Watch, Off the Streets: Arbitrary Detention and Other Abuses against Sex Workers in Cambodia, julio de 2010, http://www.hrw.org/sites/default/files/reports/cambodia0710webwcover_2.pdf; Human Rights Watch, “No Vales un Centavo”:Abusos de derechos humanos en contra de las personas transgénero en Honduras, mayo de 2009, http://www.hrw.org/node/83449.

[5]National Center for Transgender Equality and the National Gay and Lesbian Task Force, “Injustice At Every Turn: A Report of the National Transgender Discrimination Survey”, 3 de febrero de 2011, http://www.thetaskforce.org/reports_and_research/ntds (consultado el 21 de mayo de 2012).

[6] Ibíd.

[7] Urban Justice Center, “Revolving Door: An Analysis of Street-Based Prostitution in New York City”, 2003; Human Rights Watch, Off the Streets: Arbitrary Detention and Other Abuses against Sex Workers in Cambodia, julio de 2010, http://www.hrw.org/sites/default/files/reports/cambodia0710webwcover_2.pdf; National Center for Transgender Equality and the National Gay and Lesbian Task Force, “Injustice At Every Turn: A Report of the National Transgender Discrimination Survey”; Amnistía Internacional, “Stonewalled: Police Abuse and Misconduct Against Lesbian, Gay, Bisexual and Transgender people in the United States”, N.º del Índice de AI: AMR 51/122/2005, 21 de septiembre de 2005.

[8] Departamento de Seguridad Nacional de Estados Unidos (US Department of Homeland Security), testimonio escrito del Director del Servicio de Inmigración y Control de Aduanas (Immigration and Customs Enforcement, ICE) de Estados Unidos, John Morton, para una Audiencia de la Comisión de Asignaciones de la Cámara de Representantes, Subcomisión de Seguridad Nacional, sobre el pedido presidencial de partida presupuestaria para el ICE correspondiente al Ejercicio Fiscal 2013 (Subcommittee on Homeland Security Hearing on the President’s Fiscal Year 2013 Budget Request for ICE), 8 de marzo de 2012, http://www.dhs.gov/ynews/testimony/20120308-ice-fy13-budget-request-hac.shtm (consultado el 11 de mayo de 2012).

[9] Ley de Inmigración y Nacionalidad (Immigration and Nationality Act) de 1952, con sus modificaciones, (INA), arts. 212 y 237.

[10] INA, art. 212.

[11] INA, art. 212 (a) (2) (D) (i).

[12] INA, art. 236 (c).

[13] Ver, p. ej., Fondo de Población de las Naciones Unidas (UNFPA), Organización Mundial de la Salud (OMS) y Programa Conjunto de las Naciones Unidas sobre el VIH/Sida (ONUSIDA), “Declaración de posición sobre los preservativos y la prevención del VIH”, 18 de marzo de 2009, http://www.who.int/hiv/pub/condoms/20090318_position_condoms.pdf (consultado el 7 de julio de 2012); CDC, “Male Latex Condoms and Sexually Transmitted Diseases”, http://www.cdc.gov/condomeffectiveness/latex.htm (consultado el 26 de abril de 2012); US National Institute of Allergy and Infectious Diseases, “Workshop Summary”, julio de 2001, pág. 14.

[14] International Harm Reduction Association, “Global State of Harm Reduction 2010”, abril de 2010; Oficina de las Naciones Unidas contra la Droga y el Delito (ONUDD), “VIH/Sida: Prevención, Atención, Tratamiento y Apoyo en el Medio Carcelario: Marco de acción para una respuesta nacional eficaz”, octubre de 2006.

[15] John P. May y Ernest Williams, “Acceptability of Condom Availability in a US Jail”, AIDS Education and Prevention, vol. 14, supp. B; Mary Sylla y otros, “The First Condom Machine in a US Jail: the Challenge of Harm Reduction in a Law and Order Environment”, 100 American Journal of Public Health, vol. 100, N.º 6, junio de 2010, págs. 982-985; Arleen A. Liebowitz y otros, “Condom Distribution in Jail to Prevent HIV Infection”, AIDS Behavior, 4 de mayo de 2012; AIDS Foundation of Chicago, “Condom Distribution in US Correctional Facilities and Canada”, Fact Sheet 2011.

[16] Nevada permite que los condados regulen el trabajo sexual en los burdeles que cuentan con habilitación. Ver Nevada Revised Statutes, sec. 244.345. Las leyes de Nevada establecen que los trabajadores sexuales deben exigir a los clientes que utilicen preservativos en todos los establecimientos habilitados donde se ejerza la prostitución. Ver Nevada Revised Statutes, sec. 441A.805. La prostitución también constituye un delito federal, incluso cuando se practica fuera de las fronteras de Estados Unidos. Ver Ley de Transporte con Fines Sexuales Ilícitos (Transportation for Illegal Sexual Activity Act), 18 USC. secs. 2421-2428. Para consultar un resumen de las leyes estatales y federales contra la prostitución, su aplicación y sus implicaciones para los derechos humanos, ver Alice M. Miller, Mindy J. Roseman y Corey Friedman, Sexual Health and Human Rights: United States and Canada, Documento de Trabajo para la Organización Mundial de la Salud, 2010.

[17] International Harm Reduction Association, “Global State of Harm Reduction”, 2010; Ministerio de Servicios de Salud de Columbia Británica (British Columbia Ministry of Health Services), “Insite Supervised Injection Site”, http://supervisedinjection.vch.ca/ (consultado el 11 de mayo de 2012); North American Syringe Exchange Network, Base de datos del programa de intercambio de jeringas (Syringe Exchange Program Database), http://www.nasen.org/programs/ (consultado el 22 de mayo de 2012).

[18] Departamento de Salud e Higiene Mental de la Ciudad de Nueva York (New York City Department of Health and Mental Hygiene, DOHMH), “HIV/AIDS Information”, http://www.nyc.gov/html/doh/html/ah/ah.shtml (consultado el 10 de abril de 2012); Departamento de Salud e Higiene Mental de la Ciudad de Nueva York, Conjuntos de diapositivas sobre vigilancia del VIH/sida de la Ciudad de Nueva York (New York City HIV/AIDS Surveillance Slide Sets), marzo de 2012, http://www.nyc.gov/html/doh/html/dires/epi_surveillance.shtml (consultado el 10 de abril de 2012).

[19] Departamento de Salud e Higiene Mental de la Ciudad de Nueva York, “HIV/AIDS Among Youth and Older Adults 2006-2010”, Conjuntos de diapositivas sobre vigilancia del VIH/sida de la Ciudad de Nueva York, marzo de 2012, http://www.nyc.gov/html/doh/html/dires/epi_surveillance.shtml (consultado el 10 de abril de 2012).

[20] Departamento de Salud e Higiene Mental de la Ciudad de Nueva York, “HIV/AIDS Among Transgender Persons in New York City 2006-2010”, Departamento de Salud e Higiene Mental de Nueva York, marzo de 2012, http://www.nyc.gov/html/doh/html/dires/epi_surveillance.shtml (consultado el 10 de abril de 2012). La vigilancia del VIH entre personas transgénero sigue siendo incompleta, debido a la falta de datos confiables sobre el tamaño de las poblaciones transgénero y a que los métodos de recopilación de información no han identificado de manera uniforme a las personas transgénero como un grupo poblacional diferenciado. Poco tiempo atrás, los CDC emitieron nuevas pautas para la recopilación de datos entre personas transgénero, con la intención de mejorar la integridad y la exactitud de la vigilancia del VIH en Estados Unidos respecto de esta población: CDC, Guidance for HIV Surveillance Programs: Working With Transgender –Specific Data, 2012.

[21] Samuel M. Jenness et al., “Patterns of Exchange Sex and HIV Infection in High-Risk Heterosexual Men and Women”, Journal of Urban Health, vol. 88, N.º 2 (2011), págs. 329-341. Jenness afirmó: “El trabajo sexual con fines comerciales es una subcategoría del sexo de intercambio o transaccional, que consiste en cambiar sexo por bienes materiales”, pág. 329.

[22] Ibíd, pág. 338.

[23] Departamento de Salud e Higiene Mental de la Ciudad de Nueva York (New York City Department of Health and Mental Hygiene), Conjuntos de diapositivas sobre vigilancia del VIH/sida de la Ciudad de Nueva York (New York City HIV/AIDS Surveillance Slide Sets), marzo de 2012.

[24] Departamento de Salud e Higiene Mental de la Ciudad de Nueva York, “New York City Condoms”, http://www.nyc.gov/html/doh/html/condoms/condoms.shtml (consultado el 11 de abril de 2012.)

[25] Departamento de Salud e Higiene Mental de la Ciudad de Nueva York,
Boletín de salud (Health Bulletin), vol. 6, N.º 1, http://www.nyc.gov/html/doh/html/hb/dohmhnews6-01.shtml (consultado el 11 de abril de 2012).

[26] Ley Penal de Nueva York (New York Penal Law), sec. 230.00 y sig.

[27] Ley Penal de Nueva York (New York Penal Law), sec. 240.37.                                                                                                          

[28] Ley Penal de Nueva York (New York Penal Law), secs. 230.02-06.

[29] Ley Penal de Nueva York (New York Penal Law), sec. 230.15 y sig.

[30] Ley Penal de Nueva York (New York Penal Law), sec. 230.34.

[31] Estadísticas del Departamento de Justicia Penal de Nueva York (New York Department of Criminal Justice Statistics), “Prostitution-Related Arrests in New York City” (Detenciones vinculadas con la prostitución en la Ciudad de Nueva York), datos hasta el 22 de noviembre de 2011.

[32] Ibíd.

[33] Entrevista de Human Rights Watch con Kate Mogulescu, Legal Aid Society, Ciudad de Nueva York, 2 de noviembre de 2011.

[34] Estadísticas del Departamento de Justicia Penal de Nueva York (New York Department of Criminal Justice Statistics), “Prostitution-Related Arrests in New York City” (Detenciones vinculadas con la prostitución en la Ciudad de Nueva York), datos hasta el 22 de noviembre de 2011.

[35] Entrevistas de Human Rights Watch con Kate Mogulescu, Legal Aid Society, Ciudad de Nueva York, 30 de agosto de 2011 y 2 de noviembre de 2011.

[36] Transcripción del juicio, People of the State of New York v. (editado), Tribunal Penal de la Ciudad de Nueva York (Criminal Court of the City of New York), 22 de junio de 2010, en los registros de Human Rights Watch.

[37] Ley Penal de Nueva York (New York Penal Law), sec. 240.37.

[38] People v. Smith, Tribunal de Apelaciones de Nueva York (New York Court of Appeals), 44 NY 2d 613 (1978).

[39] Ibíd.

[40] Guía de Patrullaje del Departamento de Policía de Nueva York (New York Police Department Patrol Guide), secs. 208-44 y 208-45.

[41] Pacto Internacional de Derechos Civiles y Políticos (PIDCP), adoptado el 16 de diciembre de 1966, Res. Asamblea General 2200A (XXI), 21 U.N. GAOR Supp. (N.° 16) en 52, Doc. de la ONU A/6316 (1966), 999 U.N.T.S. 171, en vigor desde el 23 de marzo de 1976. Ver arts. 2, 9, 21.

[42] Terry v. Ohio, Corte Suprema de Estados Unidos (United States Supreme Court), 392 US 1 (1968); People v. Debour, Tribunal de Apelaciones de Nueva York (New York Court of Appeals), 40 NY 2d 210 (1976).

[43] Virginia v. Moore, Corte Suprema de Estados Unidos (United States Supreme Court), 553 US 164 (2008); People v. Cooper, Tribunal de Apelaciones de Nueva York (New York Court of Appeals), 241 AD 2d 553 (1997).

[44] Entrevistas de Human Rights Watch con Kate Mogulescu, Legal Aid Society, Ciudad de Nueva York, 30 de agosto de 2011 y 2 de noviembre de 2011.

[45] Entrevista de Human Rights Watch con Tanya B., Ciudad de Nueva York, 9 de diciembre de 2011. En este informe se utilizan seudónimos para los trabajadores sexuales entrevistados, a fin de proteger la confidencialidad.

[46] Entrevista de Human Rights Watch con Pam G., Ciudad de Nueva York, 19 de marzo de 2012.

[47] Entrevista de Human Rights Watch con Alysha S., Ciudad de Nueva York, 23 de marzo de 2012.                                                    

[48] Entrevista de Human Rights Watch con Sienna Baskin, Urban Justice Center, Ciudad de Nueva York, 2 de noviembre de 2011.

[49] Entrevista de Human Rights Watch con Lynn A., Ciudad de Nueva York, 21 de febrero de 2012.

[50] Entrevista de Human Rights Watch con Lola N., Ciudad de Nueva York, 23 de marzo de 2012.

[51] Entrevista de Human Rights Watch con Alexa L., Ciudad de Nueva York, 9 de diciembre de 2011.

[52] Entrevista de Human Rights Watch con Selena T., Ciudad de Nueva York, 9 de diciembre de 2011.

[53] Entrevista de Human Rights Watch con Yanira C., Ciudad de Nueva York, 9 de diciembre de 2011.

[54] Entrevista de Human Rights Watch con Mona M., Ciudad de Nueva York, 9 de febrero de 2012. En 2008, dos mujeres transgénero de color consiguieron una respuesta favorable de la justicia cuando impugnaron su detención, tras ser arrestadas en Nueva York por merodeo con fines de prostitución (Lamot v. City of New York et al., Tribunal de Distrito del Distrito Sur de Nueva York (District Court of Southern District of New York), 08cv5300 (SDNY)) y 2011 (Combs v. City of New York et al., Tribunal de Distrito del Distrito Sur de Nueva York (District Court of Southern District of New York), 11cv3831 (SDNY)), pero, en la mayoría de los casos, este tipo de identificación de personas en función de criterios selectivos por parte de policías se lleva a cabo con total impunidad.

[55] Entrevista de Human Rights Watch con Juan David Gastolomendo, Latino Commission on AIDS, Queens, Nueva York, 23 de noviembre de 2011.

[56] Entrevista de Human Rights Watch con Anna E., Ciudad de Nueva York, 22 de marzo de 2012.

[57] Entrevista de Human Rights Watch con Mona M., Ciudad de Nueva York, 9 de febrero de 2012.

[58] Entrevista de Human Rights Watch con Juan David Gastolomendo, Latino Commission on AIDS, Ciudad de Nueva York, 23 de noviembre de 2011.

[59] Entrevistas telefónicas de Human Rights Watch con Josh Saunders, Brooklyn Defender Services, Ciudad de Nueva York, 11 de noviembre de 2011, y Kate Mogulescu, Legal Aid Society, Ciudad de Nueva York, 29 de diciembre de 2011.

[60] Entrevista de Human Rights Watch con Barbie M., Ciudad de Nueva York, 31 de enero de 2012.

[61] Julia Preston, “Despite Opposition, Immigration Agency to Expand Fingerprint Program”, New York Times, 11 de mayo de 2012; Immigration and Customs Enforcement Agency, “Secure Communities Program”, http://www.ice.gov/secure_communities/ (consultado el 27 de mayo de 2012).

[62] Entrevista de Human Rights Watch con Juan David Gastolomendo, Latino Commission on AIDS, Queens, Nueva York, 23 de noviembre de 2011. Human Rights Watch documentó altos índices de violencia contra personas transgénero en Honduras, Sudáfrica, Kuwait y otros países; ver, p. ej., Human Rights Watch, "No Vales un Centavo": Abusos de derechos humanos en contra de las personas transgénero en Honduras, mayo de 2009, http://www.hrw.org/en/reports/2009/05/29/not-worth-penny-0.

[63] Entrevista de Human Rights Watch con Anna E., Ciudad de Nueva York, 22 de marzo de 2012.

[64] Entrevista de Human Rights Watch con Nola B., Ciudad de Nueva York, 9 de diciembre de 2011.

[65] Entrevista de Human Rights Watch con Jonathan Marrero, CitiWide Harm Reduction, Ciudad de Nueva York, 23 de marzo de 2012.

[66] Entrevista de Human Rights Watch con Lorena Borjas, trabajadora sénior de contacto con la comunidad, Latino Commission on AIDS, Manhattan, Nueva York, 22 de marzo de 2012.

[67] Entrevista de Human Rights Watch con Mito Miller, PROS Network, Ciudad de Nueva York, 16 de febrero de 2012.

[68] Entrevista de Human Rights Watch con Alexa L., Ciudad de Nueva York, 9 de diciembre de 2011.       

[69] Entrevista de Human Rights Watch con Tanya B., Ciudad de Nueva York, 9 de diciembre de 2011.

[70] Entrevista de Human Rights Watch con Anastasia L., Ciudad de Nueva York, 22 de marzo de 2012.

[71] Entrevista de Human Rights Watch con Victoria D., Ciudad de Nueva York, 20 de enero de 2012.

[72] Entrevista de Human Rights Watch con Alexa L., Ciudad de Nueva York, 9 de diciembre de 2011.

[73] Entrevista de Human Rights Watch con Tara A., Ciudad de Nueva York, 9 de febrero de 2012.

[74] Entrevista de Human Rights Watch con Brenda D., Ciudad de Nueva York, 21 de febrero de 2012.

[75] Entrevista de Human Rights Watch con Valerie S., Ciudad de Nueva York, 21 de febrero de 2012.

[76] Entrevista de Human Rights Watch con Mona M., Ciudad de Nueva York, 9 de febrero de 2012.

[77] Entrevista de Human Rights Watch con Anna E., Ciudad de Nueva York, 22 de marzo de 2012.

[78] Amnistía Internacional, “Stonewalled: Police Abuse and Misconduct Against Lesbian, Gay, Bisexual and Transgender people in the United States”, N.º del Índice de AI: AMR 51/122/2005, 21 de septiembre de 2005; Joey Mogul, Andrea Ritchie y Kay Whitlock, Queer (In)justice: the Criminalization of LGBT People in the United States (Boston: Beacon Press, 2012). 

[79] “Speaker Christine C. Quinn, NYPD Commissioner Kelly, Council Members and Advocates Celebrate Patrol Guide Reforms to Protect Transgender New Yorkers”, comunicado de prensa del Consejo Municipal de la Ciudad de Nueva York (New York City Council), 12 de junio de 2012, http://council.nyc.gov/html/releases/061312trans.shtml (consultado el 21 de junio de 2012).

[80] Departamento de Salud e Higiene Mental de la Ciudad de Nueva York (New York City Department of Health and Mental Hygiene), “HIV/AIDS Among Men Who Have Sex with Men in New York City 2010”, Conjuntos de diapositivas sobre vigilancia del VIH/sida de la Ciudad de Nueva York (New York City HIV/AIDS Surveillance Slide Sets), marzo de 2012, http://www.nyc.gov/html/doh/html/dires/epi_surveillance.shtml (consultado el 10 de abril de 2012).

[81] Departamento de Salud e Higiene Mental de la Ciudad de Nueva York (New York City Department of Health and Mental Hygiene), “HIV/AIDS Among Youth 12-29 and Older Adults (50 and over) in New York City 2006-2010”, Conjuntos de diapositivas sobre vigilancia del VIH/sida de la Ciudad de Nueva York (New York City HIV/AIDS Surveillance Slide Sets), marzo de 2012, http://www.nyc.gov/html/doh/html/dires/epi_surveillance.shtml (consultado el 10 de abril de 2012).

[82] National Gay and Lesbian Task Force, “Lesbian, Gay, Bisexual and Transgender Youth: An Epidemic of Homelessness”, 2006, http://www.thetaskforce.org/downloads/HomelessYouth.pdf (consultado el 7 de julio de 2012).

[83] Streetwise and Safe, “Memorandum in Support of Bill Number A-1008 and S-323”, presentado a la Legislatura del Estado de Nueva York, marzo de 2012, http://www.streetwiseandsafe.org/wp-content/uploads/2011/01/SAS-legislative-memo-FINAL.pdf (consultado el 26 de abril de 2012).

[84] Entrevista de Human Rights Watch con Renee R., Lower East Side Harm Reduction Center, Ciudad de Nueva York, febrero de 2012.

[85] Entrevista de Human Rights Watch con Sharon Stapel, directora ejecutiva, Anti-Violence Project, 12 de marzo de 2012.

[86] Correspondencia por correo electrónico entre Human Rights Watch y Andrea Ritchie, 27 de mayo de 2012.

[87] Departamento de Salud e Higiene Mental de la Ciudad de Nueva York (New York City Department of Health and Mental Hygiene), “A Report to the New York City Commissioner of Health”, elaborado por Paul Kobrak, 8 de diciembre de 2010 (en los registros de Human Rights Watch).

[88] Departamento de Salud e Higiene Mental de la Ciudad de Nueva York (New York City Department of Health and Mental Hygiene), “Enhanced Comprehensive HIV Prevention Plan PS-10-10181”, 15 de marzo de 2011, págs. 21-24.

[89] Jim Dwyer, “Giving Away, and then Seizing Condoms”. New York Times, 24 de abril de 2012.

[90] Sex Workers Project de PROS Network y Urban Justice Center, Public Health Crisis: the Impact of Using Condoms As Evidence in New York City”, abril de 2012, http://sexworkersproject.org/downloads/2012/20120417-public-health-crisis.pdf (consultado el 19 de junio de 2012).

[91] Comunicación telefónica entre Human Rights Watch y Cesar Bonila, sargento administrativo, Oficina del Comisionado de la Policía de la Ciudad de Nueva York (New York City Police Commissioner’s Office), 19 de abril de 2012.

[92] Carta de Human Rights Watch al Comisionado Thomas Farley, Departamento de Salud e Higiene Mental de la Ciudad de la Ciudad de Nueva York (New York City Department of Health and Mental Hygiene), 1 de mayo de 2012, en la cual se detallaban las numerosas oportunidades en que se solicitó una entrevista con representantes del NYCDOHMH, incluidas comunicaciones telefónicas y por correo electrónico del 28 de marzo y el 3, 9, 11 y 13 de abril de 2012, en los registros de Human Rights Watch.

[93] Comunicación enviada mediante correo electrónico a Human Rights Watch por Anthony J. Girese, asesor del Fiscal de Distrito del Bronx, 24 de abril de 2012.

[94] Freeman Klopott, “Prostitutes Push for N.Y. Law Banning Condoms as Evidence of Prostitution”, Bloomberg News, 17 de abril de 2012.

[95] Entrevista de Human Rights Watch con Lois Raff, asesora legal del Fiscal de Distrito de Queens, Ciudad de Nueva York, 27 de marzo de 2012.

[96] Ibíd.

[97] Ibíd.

[98] Entrevista de Human Rights Watch con Lois Raff, asesora legal del Fiscal de Distrito de Queens, y Anthony Communiello, Jefe de la Oficina de Procedimientos Especiales (Special Proceedings Bureau), Fiscalía de Distrito de Queens, Ciudad de Nueva York, 27 de marzo de 2012.

[99] Terry v. Ohio, Corte Suprema de Estados Unidos (United States Supreme Court), 392 US 1 (1968); People v. Debour, Tribunal de Apelaciones de Nueva York (New York Court of Appeals), 40 NY 2d 210 (1076); Ley de Procedimiento Penal de Nueva York (New York Criminal Procedure Law), sec. 140.50.

[100] Floyd et al v. City of New York, Tribunal de Distrito del Distrito Sur de Nueva York, 08 Civ. 01034 (SAS).

[101] Informe de Jeffrey Fagan, Ph.D., presentado el 15 de octubre de 2010 en el caso Floyd v. City of New York.

[102] Ver, p. ej., Orden de operaciones del Departamento de Policía de Nueva York (NYPD Operations Order) de fecha 17 de octubre de 2011, que se adjunta como Anexo 12 a la Declaración de Darius Charney presentada en oposición al pedido de los acusados de que se dictara una sentencia sumaria en el caso Floyd v. City of New York.Al Baker, “Bronx Police Precinct Accused of Using Quota System”, New York Times, 23 de febrero de 2012; Michael Powell, “No Room for Dissent in a Police Department Consumed by the Numbers”, New York Times, 7 de mayo de 2012.

[103] Base de datos sobre casos de interceptación y cacheo (“Stop and Frisk”) de New York Civil Liberties Union, http://www.nyclu.org/content/stop-and-frisk-database (consultado el 7 de mayo de 2012).

[104] Departamento de Salud del Distrito de Columbia (District of Columbia Department of Health), “HIV/AIDS, Hepatitis, STD and TB Administration (HAHSTA) Annual Report”, 2010.

[105] Kaiser Family Foundation, “US HIV/AIDS Policy Fact Sheet”, diciembre de 2011; H. Irene Hall, y otros, “Epidemiology of HIV Infection in Large Urban Areas of the United States”, PLoS One, vol. 5, n.º 9, 2010, Cuadro 1.

[106] Información resumida de la Oficina de Censos de Estados Unidos (US Census Bureau Quick Facts), “District of Columbia”, 2010.

[107] Distrito de Columbia, “HIV/AIDS, Hepatitis, STD and TB (HAHSTA) Annual Report”, 2010.

[108] Ibíd.

[109] DC Appleseed, “HIV/AIDS in the Nation’s Capital: Improving the District of Columbia’s Response to a Public Health Crisis”, agosto de 2005.

[110] E. Weil-Greenberg, “District AIDS Strategy Slammed By Two Groups”, Washington Blade, 12 de agosto de 2005.

[111] DC Appleseed, “HIV/AIDS in the Nation’s Capital, Report Card No. 6: October 2009 to February 2011”; Distrito de Columbia, “HIV/AIDS, Hepatitis, STD and TB (HAHSTA) Annual Report”, 2010.

[112] “Mayor Gray Announces Commission on HIV and AIDS”, comunicado de prensa de la Alcaldía, 25 de febrero de 2011.

[113] DC Appleseed, “HIV/AIDS in the Nation’s Capital, Report Card No. 6”, pág. 3.

[114] Departamento de Salud del Distrito de Columbia, “Join the Rubber Revolution”, http://www.rubberrevolutiondc.com/ (consultado el 20 de abril de 2012).

[115] Código Oficial del Distrito de Columbia (District of Columbia Official Code), secs. 22-2701 y 2701.01. Algunos delitos vinculados son el proxenetismo (Código Oficial del Distrito de Columbia, sec. 22-2705); recibir dinero por intermediar en actos de prostitución (Código Oficial del Distrito de Columbia, sec. 22-2707); explotar un establecimiento donde se ejerce la prostitución (Código Oficial del Distrito de Columbia, sec. 22-2712) y otros.

[116] Código Oficial del Distrito de Columbia (District of Columbia Official Code), sec. 22-2701.

[117] Código Oficial del Distrito de Columbia (District of Columbia Official Code), sec. 22-2731.

[118] Ibíd.

[119] Ibíd.

[120] Ibíd.

[121] Ver, p. ej., Testimonio de Stephen M. Bloque de American Civil Liberties Union (ACLU), “Omnibus Public Safety Act of 2005” presentado en la audiencia del Consejo del 20 de junio de 2005.

[122] Testimonio de Ariel Levinson-Waldman, asesor legal sénior del Fiscal General del Distrito de Columbia (Attorney General for the District of Columbia), ante la Comisión Judicial (Committee on the Judiciary), 24 de enero de 2012; testimonio de Fritz Mulhauser, director de ACLU de Washington, DC, ante la Comisión Judicial (Committee on the Judiciary), 24 de enero de 2012.

[123] Alliance for a Safe and Diverse DC, “Move Along: Policing Sex Work in Washington, DC”, pág. 21; Código Oficial del Distrito de Columbia, sec. 2-1401.01.

[124] Departamento de Policía Metropolitana, Orden general 501-02, octubre de 2007, IV (d).

[125] Ley de Modificación de las Zonas Libres de Prostitución (Prostitution Free Zone Amendment Act) de 2011, Proyecto de Ley 19-567, Consejo del Distrito de Columbia (Council of the District of Columbia).

[126] Información proporcionada por el Departamento de Policía Metropolitana a Human Rights Watch, 12 de abril de 2012.

[127] Testimonio escrito del Subjefe de Policía del Departamento de Policía Metropolitana Peter Newsham, 24 de enero de 2012, Comisión Judicial (Committee on the Judiciary), Consejo del DC.

[128] Testimonio oral del Subjefe de Policía del Departamento de Policía Metropolitana Peter Newsham, 24 de enero de 2012, Comisión Judicial (Committee on the Judiciary), Consejo del DC.

[129] Testimonio escrito de Ariel Levinson-Waldman, asesor legal sénior del Fiscal General para el Distrito de Columbia (Attorney General for the District of Columbia), Comisión Judicial (Committee on the Judiciary), Consejo del DC, 24 de enero de 2012.

[130] Se pueden consultar los antecedentes legislativos de la Ley de Modificación de la Zona Libre de Prostitución (Prostitution Free Zone Amendment Act) de 2011 en: http://www.dccouncil.washington.dc.us/legislation/prostitution-free-zone-amendment-act-of-2011 (consultado el 7 de julio de 2012).

[131] Terry v. Ohio, Corte Suprema de Estados Unidos (United States Supreme Court), 392 US 1 (1968); New York v. Belton, Corte Suprema de Estados Unidos (United States Supreme Court), 453 US 454 (1981); United States v. Christian, Tribunal de Apelaciones de Estados Unidos (United States Court of Appeals), 187 F.3d 663 (Circuito DC, 1999).

[132] Entrevista de Human Rights Watch con Annie T., Washington, DC 17 de noviembre de 2011.

[133] Entrevista de Human Rights Watch con Cassandra A., Washington, DC 17 de noviembre de 2011.

[134] Entrevista de Human Rights Watch con Lee H., Washington, DC, 17 de noviembre de 2011.

[135] Entrevista de Human Rights Watch con Zinnia F., Washington, DC, 27 de enero de 2012.

[136] Entrevista de Human Rights Watch con Felicia C., Washington, DC, 27 de enero de 2012.

[137] Entrevista de Human Rights Watch con Jenna Mellor, HIPS, Washington, DC, 17 de noviembre de 2011.

[138] Entrevista de Human Rights Watch con Jenna Mellor, HIPS, Washington, DC, 17 de noviembre de 2011.

[139] Entrevista de Human Rights Watch con Monica B., Washington, DC, 26 de enero de 2012.

[140] Entrevista de Human Rights Watch con Lina C., Washington, DC, 26 de enero de 2012.

[141] Entrevista de Human Rights Watch con Nila R., Washington, DC. 26 de enero de 2012.

[142] Entrevista de Human Rights Watch con Madison M., Washington, DC, 27 de enero de 2012.

[143] Entrevista de Human Rights Watch con Jody B., Washington, DC, 26 de enero de 2012.

[144] Entrevista de Human Rights Watch con Lina C., Washington, DC, 26 de enero de 2012.

[145] Entrevista de Human Rights Watch con Monica B., Washington, DC, 26 de enero de 2012.

[146] Entrevista telefónica de Human Rights Watch con el Subjefe de Policía Peter Newsham, Departamento de Policía Metropolitana (Metropolitan Police Department), Washington, DC, 30 de marzo de 2012.

[147] Ibíd.

[148] Ibíd.

[149] Entrevista de Human Rights Watch con la jueza Linda Kay Davis, Tribunal de Primera Instancia del Distrito de Columbia (Superior Court of the District of Columbia), Washington, DC, 16 de noviembre de 2011.

[150] Entrevista telefónica de Human Rights Watch con William Miller, funcionario de información al público del Fiscal Federal para el Distrito de Columbia (US Attorney for the District of Columbia), Washington, DC, 24 de abril de 2012.

[151] Entrevista telefónica de Human Rights Watch con Nestor Rocha y Michael Kharfen, Departamento de Salud de Washington, DC, 12 de abril de 2012; comunicación por correo electrónico de Human Rights Watch con Cyndee Clay, HIPS, 10 de abril de 2012.

[152] Oficina del Censo de los Estados Unidos (US Census Bureau), “State & County QuickFacts: Los Angeles County, California”, 2011, http://quickfacts.census.gov/qfd/states/06/06037.html (consultado el 7 de julio de 2012).

[153] Departamento de Salud Pública del Condado de Los Ángeles (Los Angeles County Department of Public Health, LADPH), “Enhanced Comprehensive HIV Prevention Planning (ECHPP) Report”, 2011, http://publichealth.lacounty.gov/aids/PPC/ECHPP/ECHPPExecutiveSummary.pdf (consultado el 20 de mayo de 2012).

[154] Departamento de Salud Pública del Condado de Los Ángeles (LADPH), “2011 Annual HIV Surveillance Report”, febrero de 2012, pág.1.

[155] Ibíd.

[156] Ibíd.

[157] Departamento de Salud Pública del Condado de Los Ángeles (LADPH), “HIV Prevention Plan 2009-2013”, sin fecha, pág. 47, http://publichealth.lacounty.gov/aids/PreventionPlan.htm (consultado el 7 de julio de 2012).

[158] LADPH, “2011 Annual HIV Surveillance Report”, pág. 17.

[159] Cathy J. Reback y otros, “Los Angeles Transgender Health Study: Community Report”, mayo de 2001.

[160] Ibíd.

[161] Ibíd.

[162] Departamento de Salud Pública del Condado de Los Ángeles (Los Angeles County Department of Public Health), “HIV Prevention Plan 2009-2013”, págs. 4-15.

[163] CDC, “Enhanced Comprehensive HIV Prevention Planning (ECHPP) Program”, 2011, http://www.cdc.gov/hiv/strategy/echpp/index.htm (consultado el 2 de mayo de 2012); LADPH, “Los Angeles ECHPP”, 2011, http://publichealth.lacounty.gov/aids/echpp.htm (consultado el 2 de mayo de 2012).

[164] LADPH, “Los Angeles ECHPP”, http://publichealth.lacounty.gov/aids/echpp.htm (consultado el 11 de mayo de 2012).

[165] Notificación número 3.3.1 de William Bratton, jefe de policía, Departamento de Policía de Los Ángeles, a todos los empleados del departamento, 8 de julio de 2005.

[166] Amnistía Internacional, “Stonewalled: Police Abuse and Misconduct Against Lesbian, Gay, Bisexual and Transgender People in the United State”, número de índice de AI: AMR 51/122/2005, 21 de septiembre de 2005

[167] Joey L. Mogul, Andrea J. Ritchie y Kay Whitlock, Queer (In)Justice: the Criminalization of LGBT People in the United States, (Boston: Beacon Press, 2012).

[168] Bienestar, “Interacciones de agentes de la ley dentro de la comunidad latina transgénero”, abril de 2012.

[169] Ibíd.

[170] Notificación número 1.12 de Charlie Beck, jefe de policía, Departamento de Policía de Los Ángeles, a todo el personal del departamento (sin fecha) http://learningtrans.files.wordpress.com/2012/04/lapd-transgender-policies.pdf (consultado el 11 de mayo de 2012.)

[171] Ibíd., pág. 2.

[172] Grupo de Trabajo sobre Personas Transgénero (Transgender Task Force), “Los Angeles County HIV Prevention Planning Committee Transgender Task Force Recommendations”, 21 de octubre de 2009.

[173] Comisión de Recursos Humanos de la Ciudad de Los Ángeles (City of Los Angeles Human Resources Commission), “Recommended Model Policies and Standards for the LAPD’s Interactions with Transgender Individuals”, julio de 2010.

[174] “LAPD to House Transgender Arrestees in Separate Section”, Los Angeles Times Newsblog, 12 de abril de 2012, http://latimesblogs.latimes.com/lanow/2012/04/lapd-jail-transgender.html (consultado el 11 de mayo de 2012).

[175] Departamento de Policía de Los Ángeles, “Statistical Digest 2010”, 2011, págs. 3.2., 4.2.

[176] Código Penal de California (California Penal Code), sec. 647(b).

[177] Código Penal de California (California Penal Code), sec. 653.22

[178] Código Penal de California (California Penal Code), sec. 1202.6.

[179] Código Penal de California (California Penal Code), sec. 647f y sec. 1170(h).

[180] Ibíd.; Código Penal de California (California Penal Code), sec. 647(b).

[181] People v. Hall, Tribunal de Apelaciones de California (California Court of Appeals), WL 2121912 (2007).

[182] Entrevista de Human Rights Watch con Lola L., Los Ángeles, 14 de marzo de 2012.

[183] Entrevista de Human Rights Watch con Alessa N., Los Ángeles, 13 de marzo de 2012.

[184] Entrevista de Human Rights Watch con Bamby Salcedo, Transgender Service Provider Network, Los Ángeles, 15 de marzo de 2012.

[185] Entrevista de Human Rights Watch con Violet T., Los Ángeles, 15 de marzo de 2012.

[186] Entrevista de Human Rights Watch con Jamie G., Los Ángeles, 15 de marzo de 2012.

[187] Entrevista de Human Rights Watch con Lola L., Los Ángeles, 14 de marzo de 2012.

[188] Entrevista de Human Rights Watch con Bella M., Los Ángeles, 14 de marzo de 2012.

[189] Entrevista de Human Rights Watch con Marsha P., Los Ángeles, 13 de marzo de 2012.

[190] Entrevista de Human Rights Watch con Bamby Salcedo, Los Ángeles, 15 de marzo de 2012.

[191] Entrevista de Human Rights Watch con Shayla Meyers, LGBT Access to Justice Project, Los Ángeles, 15 de marzo de 2012.

[192] Comunicación por correo electrónico de Human Rights Watch con Joseph Weiner, 4 de mayo de 2012.

[193] Entrevista de Human Rights Watch con Elaine A., Los Ángeles, 16 de marzo de 2012.

[194] Entrevista de Human Rights Watch con Marsha P., Los Ángeles, 13 de marzo de 2012.

[195] Entrevista de Human Rights Watch con Kathy B., Los Ángeles, 14 de marzo de 2012.

[196] Entrevista de Human Rights Watch con Iris L., Los Ángeles, 13 de marzo de 2012.

[197] Entrevista de Human Rights Watch con Carol F., 15 de marzo de 2012.

[198] Entrevista de Human Rights Watch con Serena L., Los Ángeles, 14 de marzo de 2012.

[199] Entrevista de Human Rights Watch con Kathy B., Los Ángeles, 14 de marzo de 2012.

[200] Entrevista de Human Rights Watch con Bamby Salcedo, Los Ángeles, 15 de marzo de 2012.

[201] Entrevista de Human Rights Watch con Bamby Salcedo, Los Ángeles, 15 de marzo de 2012.

[202] Entrevista de Human Rights Watch con Carol F., Los Ángeles, 15 de marzo de 2012.

[203] Entrevista telefónica de Human Rights Watch con Brenda del Río González, Los Ángeles, 2 de julio de 2012.

[204] Entrevista telefónica de Human Rights Watch con el teniente Patrick Shields, LAPD, Los Ángeles, 2 de mayo de 2012.

[205] Comunicación enviada mediante correo electrónico a Human Rights Watch por el teniente Patrick Shields, LAPD, 3 de mayo de 2012.

[206] Ibíd.

[207] Entrevista telefónica de Human Rights Watch con Mary Claire Molidor, Fiscalía de la Ciudad de Los Ángeles (Los Angeles City Attorney’s Office), Los Ángeles, 17 de mayo de 2012.

[208] Ibíd.

[209] Comunicación por correo electrónico enviada por Kyle Baker, jefe de personal y director de relaciones con el Gobierno, Departamento de Salud Pública del Condado de Los Ángeles (LADPH), a Human Rights Watch, 8 de mayo de 2012.

[210] CDC, “First Report of AIDS”, Morbidity and Mortality Weekly Report, vol. 50, n.° 21, 1 de junio de 2001; Departamento de Salud Pública de San Francisco, “Historical Progression of the HIV/AIDS epidemic in San Francisco, 1981-2000”, sin fecha, http://www.sfdph.org/dph/files/reports/RptsHIVAIDS/SFAtlasHIVAIDS19912000/web02progression.pdf (consultado el 23 de abril de 2012).

[211] Ver Benjamin Shepard, White Nights and Ascending Shadows: A History of the San Francisco AIDS Epidemic (Londres: Cassell, 1997); San Francisco AIDS Foundation, “10 Moments that Changed History”, sin fecha, http://www.sfaf.org/hiv-info/hot-topics/from-the-experts/10-moments-that-changed.html (consultado el 24 de abril de 2012).

[212] Departamento de Salud Pública de San Francisco (San Francisco Department of Public Health), “HIV/AIDS Epidemiology Annual Report 2010”, julio de 2011.

[213] Ibíd.

[214] Ibíd.

[215] Ibíd.

[216] Oficina del Censo de los Estados Unidos (US Census Bureau), “State & County QuickFacts: San Francisco County, California”, 2011, http://quickfacts.census.gov/qfd/states/06/06075.html (consultado el 7 de julio de 2012).             

[217] Departamento de Salud Pública de San Francisco (San Francisco Department of Public Health), “HIV/AIDS Epidemiology Annual Report 2010”; “State & County QuickFacts: San Francisco County, California”, 2011.

[218] Departamento de Salud Pública de San Francisco (San Francisco Department of Public Health), “HIV/AIDS Epidemiology Annual Report 2010”.

[219] Ibíd.

[220] Benjamin Shepard, White Nights and Ascending Shadows: A History of the San Francisco AIDS Epidemic (Londres: Cassell, 1997); Jane T. Bertrand, “Diffusion of Innovations and HIV/AIDS”, Journal of Health Communication, vol 9., supl. 1., (2004) págs. 113-121; Departamento de Salud y Servicios Humanos de Estados Unidos (US Department of Health and Human Services), “San Francisco’s New Approach to HIV Prevention”, blog.aids.gov, http://blog.aids.gov/2011/03/san-franciscos-new-approach-to-hiv-prevention.html (consultado el 24 de abril de 2012).

[221] Alexandra Lutnick, “The St. James Infirmary: A History”, sin fecha, http://stjamesinfirmary.org/?page_id=3 (consultado el 7 de julio de 2012); Grupo de Trabajo sobre Prostitución de la Junta de Supervisores de la Ciudad y el Condado de San Francisco, “Final Report 1996”, http://www.aplehawaii.org/Resources_For_Prost_Law/Additional_Materials/SFTask_Force_Prost.pdf (consultado el 9 de abril de 2012); ver también, Carol Leigh, “A First Hand Look at the San Francisco Task Force Report on Prostitution”, Hastings Law Journal vol. 10, (1999), págs. 59-90.

[222] Código Penal de California (California Penal Code), sec. 647(b).

[223] Junta de Supervisores de San Francisco, Resolución 548-94: Preservativos como prueba de prostitución (Condoms as Evidence of Prostitution), 20 de junio de 1994.

[224] Ibíd.

[225] Carta enviada por el Fiscal de Distrito Arlo Smith a Sandra Hernández, directora de salud pública, 6 de septiembre de 1994, en los registros de la Comisión de Derechos Humanos de la Ciudad de San Francisco (Human Rights Commission of the City of San Francisco).

[226] Grupo de Trabajo sobre Prostitución de la Junta de Supervisores de la Ciudad y el Condado de San Francisco (Board of Supervisors of the City and County of San Francisco Task Force on Prostitution), “Final Report 1996”.

[227] Código Penal de California (California Penal Code), sec. 653.22

[228] Código Penal de California (California Penal Code), arts . 266h y 266i.

[229] Abt Associates Inc., “Final Report on the Evaluation of the First Offender Prostitution Program San Francisco”, marzo de 2008;

[230] Ley de Inmigración y Nacionalidad, arts. 237 y 212.

[231] Entrevista telefónica de Human Rights Watch con el teniente Jason Fox, SFPD, 4 de abril de 2012.

[232] Respuesta enviada mediante correo electrónico por Maureen Conefrey, Departamento de Asuntos Legales, LAPD, respecto de la solicitud de registros públicos efectuada por Human Rights Watch, 8 de marzo de 2012; entrevista telefónica de Human Rights Watch con el teniente Jason Fox, Departamento de Policía de San Francisco, San Francisco, 2 de mayo de 2012.

[233] Datos proporcionados por el LAPD en respuesta al pedido de registros públicos, 8 de marzo de 2012, en los registros de Human Rights Watch.

[234] Entrevista telefónica de Human Rights Watch con el teniente Jason Fox, Departamento de Policía de San Francisco, San Francisco, 2 de mayo de 2012; Jason Winchell, “Bay Area Agencies Improvise Tactics to Battle Trafficking”, San Francisco Public Press, 15 de febrero de 2012; Jason Winchell, “After Anti-trafficking Team Shifted Focus to Prostitution Arrests, Police Retool Investigations”, San Francisco Public Press, 30 de noviembre de 2011.

[235] Entrevista de Human Rights Watch con Naomi Akers, St. James Infirmary, San Francisco, 8 de marzo de 2012.

[236] Entrevista telefónica de Human Rights Watch con Cyd Nova, St. James Infirmary, San Francisco, 14 de marzo de 2012.

[237] Entrevista telefónica de Human Rights Watch con el teniente Jason Fox, SFPD, San Francisco, 4 de abril de 2012.

[238] Ibíd.

[239] Entrevista telefónica de Human Rights Watch con Kimberly Lutes-Koths, Defensora Pública de San Francisco, San Francisco, 3 de mayo de 2012.

[240] Entrevista de Human Rights Watch con Jessi Ross, San Francisco, 5 de marzo de 2012.

[241] Entrevista de Human Rights Watch con Maryanne P., San Francisco, 7 de marzo de 2012.

[242] Entrevistas de Human Rights Watch en Transjustice Center, Trans:Thrive y Tri-City Health Project, 6 de marzo de 2012.

[243] Entrevista telefónica de Human Rights Watch con Cyd Nova, consejero inter pares en St James Infirmary, San Francisco, 14 de marzo de 2012.

[244] Código Penal de California (California Penal Code), sec. 11225.

[245] Código Penal de California (California Penal Code), sec. 316.

[246] Código Penal de California (California Penal Code), sec. 315.

[247] Código de Comercios y Profesiones de California (Business and Professions Code), secs. 24200 (a) (d) y (f).

[248] Constitución del Estado de California (California State Constitution), art. 20, sec. 22.

[249]Martin v. Alcoholic Beverage Control, 52 Cal. 2d. 238,240 (1959); Provigo Corp. v. Alcoholic Beverage Control, 7 Cal 4th 561 (1994).

[250] Ver, p. ej. Nelson v. Alcoholic Beverage Control, 166 Cal. App. 2d. 783 (1969); Kirby v. ABC, 25 Cal. App. 3d 331 (1972); Coleman v. Alcoholic Beverage Control 71 Cal. App. 3d 336 (1977); Alcoholic Beverage Control v. Alcoholic Beverage Control Board and Renee Vicary, 99 Cal. App. 4th 880 (2002).

[251] Código de Reglamentaciones de California (California Code of Regulations), sec. 143.3

[252] Ver, p. ej., Department of Alcoholic Beverage Control v. Alcoholic Beverage Appeals Board, 100 Cal. App. 4th 1094 (2002).

[253] Jones et al v. Déjà Vu Inc. et al., caso número C-05-0997 BZ (USDC SDCA), presentado el 7 de septiembre de 2005; 419 F. Supp 1146 (2005).

[254] Jones et al v. Déjà Vu.

[255] Jones et al v. Déjà Vu.

[256] Informe titulado “Strip Club Outreach Report” enviado a Naomi Akers, febrero de 2009, en los registros de Human Rights Watch. Human Rights Watch no pudo comunicarse con los propietarios ni con empleados de Déjà Vu, pese a varios intentos. La abogada de Déjà Vu al momento del juicio no hizo comentarios al respecto. Entrevista telefónica de Human Rights Watch con Linda Toutant, Los Ángeles, 27 de abril de 2012.

[257] Entrevista de Human Rights Watch con Jessi Ross, St. James Infirmary, San Francisco, 5 de marzo de 2012.

[258] Entrevista telefónica de Human Rights Watch con Renee K., 8 de mayo de 2012.

[259] Berkey v. ABC, AB-8331 (20 de junio de 2005).

[260] Entrevista telefónica de Human Rights Watch con Alexis Miranda, San Francisco, 10 de abril de 2012.

[261] Ibíd.

[262] Entrevista de Human Rights Watch con Naomi Akers, St. James Infirmary, 8 de marzo de 2012; entrevista de Human Rights Watch con Jessi Ross, San Francisco, 5 de marzo de 2012.

[263] Entrevista de Human Rights Watch con Amanda R., San Francisco, 7 de marzo de 2012.

[264] Código de Salud de San Francisco (San Francisco Health Code), sec. 29, sec. 1929.

[265] Código Penal de California (California Penal Code), arts. 236, 237 y 266.

[266] Grupo de trabajo Alianza de California para Combatir la Trata y la Esclavitud (California Alliance to Combat Trafficking and Slavery Task Force), “Human Trafficking in California: Final Report”, octubre de 2007, pág. 26; comunicados de prensa del Departamento de Seguridad Nacional de Estados Unidos (US Department of Homeland Security) y del Departamento de Justicia de Estados Unidos (US Department of Justice), 1 de julio de 2005, reproducidos en http://calcasa.org/wp-content/uploads/2006/11/HT_Final_Report_ADA.pdf (consultado el 27 de abril de 2012).

[267] Informe de Rendición de Cuentas del Alcalde de San Francisco, 30 de septiembre de 2009, pág. 181.

[268] Erin Sherbert, “Illegal Massage Parlors Skirting City Regulations” San Francisco Examiner, 27 de agosto de 2010.

[269]Marsha Ginsburg, “Alleged Code Violations at Three Massage Parlors”, San Francisco Chronicle, 15 de septiembre de 2005.

[270] Entrevista de Human Rights Watch con Naomi Akers, St. James Infirmary, San Francisco, 8 de marzo de 2012.

[271] Entrevista telefónica de Human Rights Watch con el teniente Jason Fox, SFPD, San Francisco, 4 de abril de 2012.

[272] Ibíd.

[273] Tooru Nemoto y otros, “HIV Risk Among Asian Women Working at Massage Parlors in San Francisco”, AIDS Education and Prevention, vol. 16, N.° 3, 2003, págs. 245-256.

[274] Entrevista telefónica de Human Rights Watch con Kim Le, 15 de enero de 2012; entrevista de Human Rights Watch con Jessi Ross, San Francisco, 8 de marzo de 2012.

[275] Entrevista de Human Rights Watch con el Dr. Jeffrey Klausner, San Francisco, 8 de marzo de 2012.

[276] Entrevista telefónica de Human Rights Watch con Marshall Khine, Fiscal de Distrito Adjunto, San Francisco, 13 de abril de 2012.

[277] Ibíd. El Fiscal de Distrito Adjunto a cargo de casos de delitos menores relacionados con prostitución no respondió a los reiterados pedidos de Human Rights Watch para mantener una entrevista. Comunicaciones por correo electrónico y telefónicas con R. Breal, Fiscalía de Distrito de San Francisco (San Francisco District Attorney’s office), 13 y 19 de abril de 2012.

[278] Entrevista telefónica de Human Rights Watch con el teniente Jason Fox, SFPD, San Francisco, 4 de abril de 2012.

[279] Comunicación enviada mediante correo electrónico a Human Rights Watch por John Carr, funcionario de información, Departamento para el Control de Bebidas Alcohólicas de California (California Department of Alcoholic Beverage Control), 17 de abril de 2012.

[280] Entrevista de Human Rights Watch con Israel Nieves-Rivera, Departamento de Salud de San Francisco (San Francisco Department of Health), San Francisco, 8 de marzo de 2012.

[281] Departamento de Salud de San Francisco (San Francisco Department of Health), “HIV Prevention Plan 2010-2015”, 2010.

[282] Entrevista telefónica de Human Rights Watch con Israel Nieves-Rivera, Departamento de Salud de San Francisco (San Francisco Department of Health), San Francisco, 8 de mayo de 2012.

[283] Entrevista de Human Rights Watch con Cecelia Chung, Comisionada de Derechos Humanos en ese momento, San Francisco, 7 de marzo de 2012.

[284] Declaración Universal de los Derechos Humanos (DUDH), adoptada el 10 de diciembre de 1948, Res. A.G. 217A(III), Doc. de la ONU A/810 en 71 (1948), preámbulo, arts. 1, 2, 3, 25.

[285] Pacto Internacional de Derechos Civiles y Políticos (PIDCP), adoptado el 16 de diciembre de 1966, Res. A.G. 2200A (XXI), 21 U.N. GAOR Supp. (N.° 16) en 52, Doc. de la ONU A/6316 (1966), 999 U.N.T.S. 171, en vigor desde el 23 de marzo de 1976.

[286] Comité de Derechos Humanos de la ONU, PIDCP, Observación General N.° 6, art. 6, Derecho a la vida, 30 de abril de 1982, párr. 5.

[287] Pacto Internacional de Derechos Económicos, Sociales y Culturales (PIDESC), adoptado el 16 de diciembre de 1966, Res. Asamblea General 2200A (XXI), UN GAOR (n.º 16) en 49, Doc. de la ONU A/6316 (1966), 99 UNTS 3, en vigor desde el 3 de enero de 1976, suscripto por Estados Unidos el 5 de octubre de 1977.

[288] Comité de Derechos Económicos, Sociales y Culturales de la ONU, Observación General N.º 14: El derecho al disfrute del más alto nivel posible de salud, Doc. de la ONU E/C.12/2000/4, adoptado el 11 de agosto de 2000, párrs. 15, 16.

[289] PIDESC, Observación General 14, párr. 16.

[290] PIDESC, Observación General 14, párr. 34

[291] PIDESC, Observación General 14, párr. 33                                                                        

[292] PIDESC, Observación General 14, párrs. 18, 21, 43.

[293] Convención de Viena sobre el Derecho de los Tratados (Vienna Convention on the Law of Treaties, VCLT), adoptada el 23 de mayo de 1969, en vigor desde el 27 de enero de 1980, art. 18.

[294] Convención sobre la Eliminación de Todas las Formas de Discriminación contra la Mujer, adoptada el 18 de diciembre de 1979, Res. Asamblea General 34/18034 UN GAOR Supp. N.° 46 en 193, Doc. de la ONU A/34/46, en vigor desde el 3 de septiembre de 1981, art. 16 (1) e.

[295] Programa Conjunto de las Naciones Unidas sobre el VIH/sida (ONUSIDA), “Directrices Internacionales sobre el VIH/sida y los Derechos Humanos”, 2006, pág. 5.

[296] Código de Conducta para Funcionarios Encargados de Hacer Cumplir la Ley de las Naciones Unidas, adoptado el 17 de diciembre de 1979, Res. Asamblea General 34/169, anexo, 34 U.N. GAOR Supp. (N.° 46) en 186, Doc. de la ONU A/34/46 (1979), art. 1, párr. (c).

[297] ONUSIDA, “Directrices Internacionales sobre el VIH/Sida y los Derechos Humanos”, párr. 21(c).

[298] Programa Conjunto de las Naciones Unidas sobre el VIH/Sida (ONUSIDA), “Nota de Orientación sobre el VIH y el Trabajo Sexual” 2009, pág. 2.

[299] ONUSIDA, “Nota de Orientación sobre el VIH y el Trabajo Sexual”, pág. 12.

[300] PIDCP, art. 19.

[301] Ver, p. ej. Norma Federal sobre Pruebas (Federal Rule of Evidence) 412, Código Procesal Penal del Estado de Nueva York (New York State Criminal Procedure Code) 60.42, y Código Probatorio de California (California Evidence Code) 782.

[302] Ver la declaración de la representante del estado de NY Elizabeth Holtzman, promotora de la Ley de Protección de la Privacidad de Víctimas de Violación (Privacy Protection for Rape Victims Act) de 1978, 124 Congressional Record 34, 913 (1978); Harriet Galvin, “Shielding Rape Victims in the State and Federal Courts: A Proposal for the Second Decade”, Minnesota Law Review, vol. 70, (1986), pág. 763. Para consultar un análisis más detallado de los principios de política pública subyacentes a las leyes de protección de víctimas de violación, ver C. Wright y K. Graham, Federal Practice and Procedure, Vol. 23, 5-381-393 y Joseph Biden, “Violence Against Women: the Congressional Response”, American Psychologist, vol. 48, n.° 10 (1993), págs. 1059-61.

[303] Graham C. Lilley, An Introduction to the Law of Evidence, 3.° Ed., (St Paul: West Publishing 1996), pág. 438.

[304] Eisenstadt v. Baird, Corte Suprema de Estados Unidos (United States Supreme Court), 405 US 438 (1972).

[305] PIDCP, arts. 9, 26. Cada vez es más habitual que se entiend a por “sexo” al género y la identidad de género de una persona, ver, p. ej. Macy v. Holder, apelación número 0120120821, Agencia número ATF 2011-00751, 20 de abril de 2012, un caso en el cual la Comisión para la Igualdad de Oportunidades en el Empleo de Estados Unidos (US Equal Employment Opportunity Commission) determinó que la decisión de no contratar a una mujer transgénero, pese a que reunía las condiciones necesarias, constituía una violación del Título VII de la Ley de Derechos Civiles (Civil Rights Act) de 1964.

[306] En la ciudad de Nueva York, la justicia estatal y federal ha invalidado leyes sobre merodeo similares a la ley sobre merodeo con fines de prostitución, por considerar que incumplían consideraciones de debido proceso. En el caso People v. Uplinger, 460 NYS2d 514 (1983) el Tribunal de Apelaciones de Nueva York (New York Court of Appeals) invalidó una ley que prohibía el merodeo con el objeto de participar en una conducta sexual lasciva. En People v. Bright, 526 NYS2d 66 (1988) el Tribunal de Apelaciones de Nueva York (New York Court of Appeals) invalidó una ley que prohibía el merodeo en un punto de tránsito sin ofrecer una explicación suficiente. En Loper v. New York City Police Department, 999 F2d 699 (2d Cir. 1993), la justicia federal invalidó una ley que prohibía el merodeo con el fin de mendigar.

[307] Pacto Internacional de Derechos Civiles y Políticos (PIDCP), adoptado el 16 de diciembre de 1966, Res. Asamblea General 2200A (XXI), 21 U.N. GAOR Supp. (N.° 16) en 52, Doc. de la ONU A/6316 (1966), 999 U.N.T.S. 171, en vigor desde el 23 de marzo de 1976. Ver arts. 2, 9, 21.

[308] Principios de Yogyakarta sobre la Aplicación de la Legislación Internacional de Derechos Humanos en Relación con la Orientación Sexual y la Identidad de Género, marzo de 2007, Principio 7 (a).

[309] Departamento de Justicia de Estados Unidos (US Department of Justice), División de Derechos Civiles, “Investigation of New Orleans Police Department”, 16 de marzo de 2011, pág. 10.

[310] Departamento de Justicia de Estados Unidos (US Department of Justice), “Investigation of New Orleans Police Department”, pág. 9.

[311] Código Penal de California (California Penal Code), sec. 1202.6.

[312] ONUSIDA, “Nota de Orientación sobre el VIH y el Trabajo Sexual”, pág. 8; Center for Advocacy on Stigma and Marginalization, “Rights-Based Sex Worker Empowerment Guidelines”, julio de 2008, pág. 12.

[313] Grupo de Referencia Mundial de ONUSIDA sobre el VIH y los Derechos Humanos, “WHO/UNAIDS Policy Statement on HIV Testing”, junio de 2004.

[314] ONUSIDA, “Directrices Internacionales sobre el VIH/Sida y los Derechos Humanos”, 2006, pág. 95.

[315] Código Penal de California (California Penal Code), sec. 647f.

[316] Convención contra la Tortura y Otros Tratos o Penas Crueles, Inhumanos o Degradantes (CCT), adoptada el 10 de diciembre de 1984, Res. A.G. 39/46, anexo, 39 UN GAOR Supp. (n.º 51) en 197, Doc. de la ONU A/39/51 (1984), en vigor desde el 26 de junio de 1987, ratificada por Estados Unidos el 15 de octubre de 1994.

[317] Código de Conducta para Funcionarios Encargados de Hacer Cumplir la Ley, Res. Asamblea General 34/169, anexo, 34 U.N. GAOR Supp. (n.º 46) en 186, Doc. de la ONU A/34/46 (1979), art. 2; Conjunto de Principios para la Protección de Todas las Personas Sometidas a Cualquier Forma de Detención o Prisión, Res. Asamblea General 43/173, anexo, 43 U.N. GAOR Supp. (n.º 49) en 298, Doc. de la ONU A/43/49 (1988), prin. 1; Reglas Mínimas para el Tratamiento de los Reclusos de las Naciones Unidas (Reglas Mínimas), adoptadas por el Primer Congreso de las Naciones Unidas sobre Prevención del Delito y Tratamiento del Delincuente, celebrado en Ginebra en 1955, y aprobadas por el Consejo Económico y Social en sus resoluciones 663 (XXIV) del 31 de julio de 1957 y 2076 (LXII) del 13 de mayo de 1977, párr. 26.

[318] Ibíd.

[319] El Relator Especial de la ONU sobre Tortura señaló que “como la violación u otras formas de agresión sexual contra las mujeres que se encuentran en detención constituyen un agravio particularmente ignominioso a la dignidad inherente al ser humano y al derecho a su integridad física, es evidente que son actos de tortura”. Relator Especial de la ONU sobre la Cuestión de la Tortura, Acta resumida de la 21.ª sesión, Resolución del Consejo Económico y Social de las Naciones Unidas, Comisión de Derechos Humanos, 48.º período de sesiones, párrafo 35, Doc. de la ONU E/CN.4/1992/SR.21 (1992).

[320] Informe del Relator Especial sobre la cuestión de la tortura y otros tratos o penas crueles, inhumanos o degradantes, Asamblea General de la ONU, Doc. de la ONU A/56/156, 3 de julio de 2001, Sección IIA (en el que se determina que el temor a la tortura física puede constituir tortura psicológica, y que las amenazas graves y verosímiles a la integridad física de la víctima o a un tercero pueden equivaler a un trato cruel, inhumano o degradante, o incluso a la tortura, especialmente cuando la víctima está en manos de funcionarios encargados la aplicación de la ley). En sus recomendaciones a Estados Unidos emitidas en 2006, el Comité contra la Tortura expresó su preocupación respecto de denuncias creíbles de agresión sexual de personas detenidas “y la particular vulnerabilidad de personas de orientación sexual diferente”. Conclusiones y recomendaciones: Estados Unidos, CAT/C/USA/CO/2, párr. 32, May 18 2006.

[321] Informe del Relator Especial sobre la cuestión de la tortura y otros tratos o penas crueles, inhumanos o degradantes, Asamblea General de la ONU E/CN.4/2002/76, 27 de diciembre de 2001.

[322] Departamento de Estado de los Estados Unidos (US Department of State), “US Response to UN Human Rights Council Working Group Report”, 10 de marzo de 2011.